Foram encontradas 40 questões.
Associe as proteínas às suas respectivas funções:
(1) hemoglobina
(2) imunoglobulinas
(3) insulina
(4) actina
(5) amilase
( ) mecanismos estruturais
( ) regulação da atividade celular ou fisiológica
( ) mecanismos de defesa do organismo
( ) função enzimática
( ) transporte de moléculas
Assinale a opção que apresenta a ordem correta da associação.
Provas
Considere que um pedaço A de polietileno pesou 11,2 g em uma balança cuja incerteza é ±0,1 g. Um outro pedaço de polietileno, B, pesou 15,98 g em uma balança de duas casas decimais. Um pedaço C pesou 3,000 g em uma balança analítica cuja incerteza é de ±0,1 mg.
Nessa situação, a soma das massas dos três pedaços de polietileno é igual a:
Provas
Durante o processo de quantificação de proteínas totais por espectrofotometria, alguns cuidados devem ser tomados a fim de evitar erros de leitura. Com base nessa informação, analise as afirmativas abaixo:
I. Certificar-se de que o equipamento esteja fechado no momento da leitura das amostras minimiza efeitos de espalhamento e reflexões das superfícies das redes, lentes ou espelhos, filtros e janelas, resultantes da entrada de luz espúria.
II. Evitar a leitura de soluções muito diluídas, pois, para concentrações que excedem 0,01 mol L-1, a distância média entre os íons ou moléculas da espécie absorvente aumenta a ponto de cada partícula afetar a distribuição de carga.
III. Utilizar cubetas com o mesmo caminho óptico e equivalente em suas características ópticas para leitura das amostras e do branco;
IV. Limpar, antes da leitura, a superfície das células com um lenço de papel para lentes embebido em solução de glutaraldeído a 2%, a fim de evitar o acúmulo de partículas de poeira que interferem na leitura.
Assinale a opção que contém os cuidados corretos durante esse processo:
Provas
O tipo de ligação covalente mais frequente em proteínas secretadas para o meio extracelular e sua respectiva reação química de formação são:
Provas
Tem-se 100 g de uma solução aquosa de KBr a 10% em massa. Para torná-la uma solução de concentração de 50% em massa, a massa de KBr, em g, que deve ser adicionada a essa solução é:
Provas
Quando se trabalha com substâncias voláteis ou com reações que desprendam produtos gasosos, faz-se necessário o uso de uma capela de exaustão.
A capela de exaustão é recomendada durante a manipulação do seguinte reagente químico:
Provas
Um técnico de laboratório misturou 100 mL de solução de hidróxido de sódio a 5% em massa e densidade igual a 1,4 g/mL com 325 mL de NaOH 1 molar (M) e completou o volume para 1000 mL.
A molaridade da solução resultante é, em M, de:
Provas
O etanoato de pentila ou, como é comercialmente conhecido, acetato de amila, é um líquido com odor agradável de banana. A reação orgânica da síntese do acetato de amila é uma reação de:
Provas
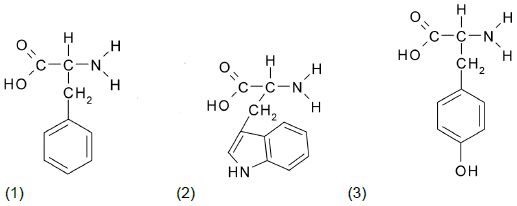
As proteínas possuem absorção máxima em comprimento de onda de, aproximadamente, 280 nm (UV), devido à presença de aminoácidos com cadeias laterais aromáticas.
Analise as estruturas químicas representadas abaixo.

Nas estruturas químicas 1, 2 e 3, os aminoácidos responsáveis pela absorbância citada são, respectivamente:
Provas
Em espectrofotometria, o caminho óptico de células ou cubetas mais comum nos estudos nas regiões do UV e do visível é:
Provas
Caderno Container