Magna Concursos

Foram encontradas 989 questões.

1360369 Ano: 2009
Disciplina: Gerência de Projetos
Banca: UFAL
Orgão: UFAL
Provas:
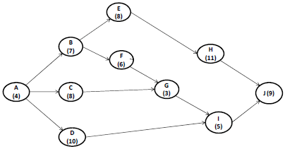
Utilize a imagem do diagrama PERT a seguir para responder a questão abaixo.
Enunciado 1360369-1
Para acompanhar um projeto de pesquisa, financiado pelo CNPq, a equipe de projetos preparou um diagrama PERT. Considerando que para cada atividade prevista (listadas de A a J) está relacionado um tempo de realização (em semanas), qual é o menor tempo possível para a conclusão do projeto?
 

Provas

Questão presente nas seguintes provas
1360366 Ano: 2009
Disciplina: Comunicação Social
Banca: UFAL
Orgão: UFAL
Provas:
Quando a câmera se desloca lateralmente seguindo o objeto da cena (personagem, animal, transporte etc.) seu operador está fazendo
 

Provas

Questão presente nas seguintes provas
1360365 Ano: 2009
Disciplina: Medicina
Banca: UFAL
Orgão: UFAL
Provas:
Assinale a opção correta quanto a Síndrome de Burn-out.
 

Provas

Questão presente nas seguintes provas
1360359 Ano: 2009
Disciplina: Música
Banca: UFAL
Orgão: UFAL
Provas:
No trecho abaixo, a tonalidade e o modo correspondem a
Enunciado 1360359-1
 

Provas

Questão presente nas seguintes provas
1360354 Ano: 2009
Disciplina: Comunicação Social
Banca: UFAL
Orgão: UFAL
Provas:
Texto que expressa a opinião da empresa que edita o jornal ou revista:
 

Provas

Questão presente nas seguintes provas
Conformados e realistas
Fernando Calazans e poucos outros jornalistas esportivos têm sido críticos e realistas sobre a qualidade e o futuro do futebol brasileiro, da seleção e dos clubes. Penso da mesma forma. Estamos preocupados.
Já a numerosa turma do oba-oba, também chamada de otimista, acha que somos muito pessimistas.
Os conformados, os que têm pouco senso crítico e também os modernistas, que são muito bem preparados cientificamente, dizem que o futebol moderno é esse aí. Temos de engoli-lo. Tocar a bola e esperar o momento certo para tentar fazer o gol virou sinônimo de lentidão. Confundem modernidade com mediocridade.
Ninguém é tão ingênuo para achar que se deve jogar hoje no estilo dos ano 60.
O que queremos é ver mais qualidade. Não podemos nos contentar com um futebol medíocre quase só de jogadas aéreas e de muitas faltas e muita correria. O encanto do futebol é outro.
Os jogadores são produzidos em série, para a exportação, como uma fábrica de parafusos. Os atletas de talento são colocados na mesma linha de produção dos medíocres. Há mercado para todos. Aumentou a quantidade e diminuiu a qualidade.
Caderno de Esporte. Folha de S. Paulo, 31/8/2008.
Dadas as proposições seguintes,
1. O autor divide em três classes aqueles que são otimistas quanto ao futebol brasileiro.
2. Ao caracterizar o futebol como medíocre, o autor está emitindo um juízo de valor, ou seja, expressa a opinião dele sem elementos que a comprovem.
3. Embora haja um ponto final após “[...] futebol moderno é esse aí.”, a relação que há com o período seguinte é de conclusão, podendo, inclusive, substituir-se o referido sinal por dois pontos.
4. O uso da primeira pessoa do plural, nos 1º e 5º parágrafos, indica a opinião do autor e de alguns jornalistas sobre o futebol brasileiro.
verifica-se que
 

Provas

Questão presente nas seguintes provas
1360340 Ano: 2009
Disciplina: Direito Administrativo
Banca: UFAL
Orgão: UFAL
Provas:
Qual das opções abaixo não representa critério a ser observado pela administração pública nos processos administrativos, na forma disposta na Lei Federal nº 9.784, de 29 de janeiro de 1999?
 

Provas

Questão presente nas seguintes provas
1360297 Ano: 2009
Disciplina: Museologia
Banca: UFAL
Orgão: UFAL
Provas:
Para garantir a boa conservação da prataria, é correto dizer:
 

Provas

Questão presente nas seguintes provas
1360293 Ano: 2009
Disciplina: Comunicação Social
Banca: UFAL
Orgão: UFAL
Em telejornalismo, o trabalho do câmara depende do repórter e vice-versa. Podemos afirmar, corretamente, que, exceto:
 

Provas

Questão presente nas seguintes provas
1359989 Ano: 2009
Disciplina: Veterinária
Banca: UFAL
Orgão: UFAL
Provas:
A cesariana em porcas é indicada para a resolução de partos distócicos. Quanto ao procedimento, é incorreto afirmar:
 

Provas

Questão presente nas seguintes provas