Foram encontradas 473 questões.
I. As instituições públicas de educação superior obedecerão ao princípio da gestão democrática, assegurada a existência de órgãos colegiados deliberativos, com os docentes ocupando setenta por cento dos assentos em cada um desses órgãos.
II. Os colegiados deliberativos das instituições públicas de educação superior terão a participação de segmentos da comunidade institucional, local e regional.
III. O ano letivo regular da educação superior é independente do ano civil e tem, no mínimo, duzentos dias de trabalho acadêmico efetivo, incluindo o tempo reservado aos exames finais, quando houver.
verifica-se que está(ão) correta(s)
Provas
Provas
Provas
Provas
Provas
I. Cursos sequenciais por campo de saber, de diferentes níveis de abrangência, abertos a candidatos que atendam aos requisitos estabelecidos pelas instituições de ensino, desde que tenham concluído o ensino fundamental.
II. Cursos de graduação, abertos a candidatos que tenham concluído o ensino médio ou equivalente e tenham sido classificados em processo seletivo.
III. Cursos de pós-graduação, compreendendo programas de mestrado e doutorado, cursos de especialização, aperfeiçoamento e outros, abertos a candidatos que concluíram o ensino médio ou equivalente e que atendam às exigências das instituições de ensino.
IV. Cursos de extensão, abertos a candidatos que atendam aos requisitos estabelecidos em cada caso pelas instituições de ensino.
verifica-se que, de acordo com o disposto na Lei nº 9.394, de 20 de dezembro de 1996, são cursos e programas abrangidos pela educação superior do Brasil com destinações corretas
Provas
Provas
Testes de Softwares têm como objetivo revelar a presença de falhas no software, e não mostrar que o software está correto. As atividades de testes devem estar integradas desde cedo às atividades de desenvolvimento do software.
Binder, R. Testing object-oriented systems: models, patterns, and tools. Addison-Wesley Professional, 2000.
Dadas as afirmativas relacionadas à Teste de Software,
I. Testes de software são divididos em diversos tipos, tais como testes de unidade, de integração, de sistema, de validação e de robustez.
II. Nos testes caixa branca, também conhecidos por testes baseados em implementação, o projetista de testes analisa também a estrutura interna da aplicação, como o código implementado ou a tecnologia utilizada.
III. Testes baseados na especificação são chamados também de testes caixa preta, nos quais o projetista de testes não precisa saber os detalhes de implementação do sistema.
verifica-se que está(ão) correta(s)
Provas
Considere os seguintes requisitos funcionais de um software de frente de caixa de uma sorveteria:
I. ao selecionar um tipo qualquer de sorvete, pode-se adicionar vários condimentos a esse sorvete (tais como coberturas de diferentes sabores, granulados etc.) e o sistema deve calcular o valor total (sorvete + condimentos) dinamicamente ao fechar o pedido;
II. ao fechar o pedido, o sistema deve permitir adaptar o tipo de pagamento (cartão de crédito ou débito com desconto);
III. ao concluir o pedido, o sistema deve permitir que o valor total e a descrição do pedido sejam enviados a outros objetos (ou módulos) do sistema que estejam interessados nesses dados.
Com base nos requisitos funcionais detalhados acima, qual dos padrões de projetos abaixo são adequados para resolver cada requisito funcional, respectivamente?
Provas
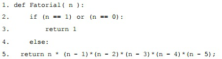
O trecho de código Python é uma função recursiva para o cálculo do fatorial de um número natural qualquer. Entretanto, apresenta um erro de programação.

Em qual linha está o erro e como consertá-lo para que a função cumpra corretamente o seu propósito?
Provas
Caderno Container