Foram encontradas 300 questões.
- PODC: Processo OrganizacionalProcesso Administrativo: Organização
- PODC: Processo OrganizacionalProcesso Administrativo: Direção
- Teorias da AdministraçãoAbordagem NeoclássicaTeoria Neoclássica da Administração
Suponha que, ao passar no concurso da UFAL, você seja
alocado em uma Unidade Acadêmica, sendo-lhe distribuídas
tarefas/atividades (trabalho) por uma chefia que lhe diz o que
fazer e o orienta para que você possa fazer seu trabalho da
melhor forma possível.
Assinale a alternativa correta que demonstra, a partir do texto acima, informações explícitas das funções administrativas.
Assinale a alternativa correta que demonstra, a partir do texto acima, informações explícitas das funções administrativas.
Provas
Questão presente nas seguintes provas
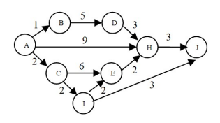
Observe o Diagrama PERT/CPM de um projeto, no qual os
números são os seguintes:
Assinale a alternativa que indica o caminho crítico.
Assinale a alternativa que indica o caminho crítico.
Provas
Questão presente nas seguintes provas
Misturamos, frequentemente, no uso do dia a dia, alguns
conceitos básicos da contabilidade pública como se fossem as
mesmas coisas.
Para evitar essa confusão, associe corretamente o termo (coluna 1) à característica (coluna 2).
Assinale a sequência correta, de cima para baixo.
Para evitar essa confusão, associe corretamente o termo (coluna 1) à característica (coluna 2).
Assinale a sequência correta, de cima para baixo.
Provas
Questão presente nas seguintes provas
- Gestão Estratégica
- PODC: Processo OrganizacionalProcesso Administrativo: PlanejamentoPlanejamento Estratégico, Tático e Operacional
Sobre Planejamento Estratégico, é correto afirmar que
Provas
Questão presente nas seguintes provas
- Gestão de ProcessosOrganizações, Sistemas e Métodos
- PODC: Processo OrganizacionalProcesso Administrativo: OrganizaçãoEstrutura Organizacional
Acerca do desenho departamental de uma organização, assinale
a alternativa correta.
Provas
Questão presente nas seguintes provas
“O objetivo da elaboração e divulgação da informação
contábil é fornecer informação para fins de prestação de contas e
responsabilização (accountability) e tomada de decisão.
As características qualitativas são atributos que tornam a informação útil para os usuários e dão suporte ao cumprimento dos objetivos da informação contábil”.
BRASIL. Manual de contabilidade aplicada ao setor público, 2024, p. 29.
Sobre uma das características qualitativas da informação contábil: a ____________________ é alcançada quando a configuração do fenômeno é completa, neutra e livre de erro material.
Assinale a alternativa que preenche corretamente a lacuna da frase.
As características qualitativas são atributos que tornam a informação útil para os usuários e dão suporte ao cumprimento dos objetivos da informação contábil”.
BRASIL. Manual de contabilidade aplicada ao setor público, 2024, p. 29.
Sobre uma das características qualitativas da informação contábil: a ____________________ é alcançada quando a configuração do fenômeno é completa, neutra e livre de erro material.
Assinale a alternativa que preenche corretamente a lacuna da frase.
Provas
Questão presente nas seguintes provas
A respeito dos conceitos fundamentais das relações
interpessoais, propostos por Robert Hinde, e suas implicações
organizacionais, dadas as afirmativas,
I. A reciprocidade e a complementaridade do comportamento podem ser ambivalentes para o relacionamento.
II. As primeiras impressões são fundamentais para a percepção interpessoal.
III. Os indivíduos afetam e são afetados, entre outras coisas, pelas características individuais (expectativas, normas culturais, regras sociais).
verifica-se que está/ão correta/s
I. A reciprocidade e a complementaridade do comportamento podem ser ambivalentes para o relacionamento.
II. As primeiras impressões são fundamentais para a percepção interpessoal.
III. Os indivíduos afetam e são afetados, entre outras coisas, pelas características individuais (expectativas, normas culturais, regras sociais).
verifica-se que está/ão correta/s
Provas
Questão presente nas seguintes provas
Quando a Universidade Federal de Alagoas resolve, por meio de
procedimento administrativo, realizar o arrolamento físico-financeiro de todos os bens móveis, imóveis e bens culturais
musealizados e passíveis de musealização, ela está realizando
um/a
Provas
Questão presente nas seguintes provas
A classificação de materiais é importante para o processo de
gestão do estoque. Para a classificação, existem etapas que
devem ser consideradas.
Nesse contexto, dadas as afirmativas,
I. A catalogação é a etapa que arrola todos os itens de material existentes em estoque ou que se deseja ter registrados.
II. A padronização é a etapa que estabelece normas técnicas para os itens de material em si ou para o seu emprego com segurança.
III. A codificação é a etapa que reduz a diversidade de itens de material que se destinam ao mesmo fim.
IV. A normalização é a etapa que descreve o material, possibilitando a sua individualização em uma linguagem familiar de mercado.
verifica-se que está/ão correta/s apenas
Nesse contexto, dadas as afirmativas,
I. A catalogação é a etapa que arrola todos os itens de material existentes em estoque ou que se deseja ter registrados.
II. A padronização é a etapa que estabelece normas técnicas para os itens de material em si ou para o seu emprego com segurança.
III. A codificação é a etapa que reduz a diversidade de itens de material que se destinam ao mesmo fim.
IV. A normalização é a etapa que descreve o material, possibilitando a sua individualização em uma linguagem familiar de mercado.
verifica-se que está/ão correta/s apenas
Provas
Questão presente nas seguintes provas
De acordo com o Estatuto Geral da Universidade Federal de
Alagoas (UFAL), dadas as afirmativas,
I. A UFAL goza de autonomia para criar, organizar e extinguir cursos e programas de educação superior.
II. Ao Conselho de Curadores, órgão da UFAL, compete aprovar a proposta de seu Regimento Interno.
III. A Unidade Acadêmica atua como última instância disciplinar para todos os membros da comunidade universitária que se encontrem a ela vinculados ou nela lotados.
verifica-se que está/ão correta/s
I. A UFAL goza de autonomia para criar, organizar e extinguir cursos e programas de educação superior.
II. Ao Conselho de Curadores, órgão da UFAL, compete aprovar a proposta de seu Regimento Interno.
III. A Unidade Acadêmica atua como última instância disciplinar para todos os membros da comunidade universitária que se encontrem a ela vinculados ou nela lotados.
verifica-se que está/ão correta/s
Provas
Questão presente nas seguintes provas
Cadernos
Caderno Container