Foram encontradas 66 questões.
Considere a fórmula estrutural do hidrocarboneto a seguir:

A sequência CORRETA para os estados de hibridização dos carbonos 2, 3, 5 e 6, indicados na figura, é:
Provas
Os polímeros se classificam em naturais e sintéticos. Os polímeros naturais, ou biopolímeros, são os que ocorrem na natureza. Os polímeros sintéticos, ou artificiais, são produzidos em laboratório, em geral, de produtos derivados de petróleo. Para exemplificar, assinale a alternativa que contém um polímero natural e um polímero sintético:
Provas
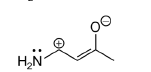
A ressonância consiste na representação da estrutura de uma molécula por duas ou mais estruturas convencionais. Para exemplificar, considere a molécula do 4-amino-but-3-en-2-ona (UIPAC):

A estrutura de ressonância que mais contribui para o híbrido de ressonância dessa molécula é:
Provas
A bromação de alcanos é uma reação muito mais lenta que a cloração. Considere a seguinte reação na qual 2-metilbutano reage com Br2 na presença de luz ou calor:
![]()
Podemos afirmar que o principal produto orgânico esperado da reação é:
Provas
Leia o texto a seguir para responder a questão a seguir.
«IL EST IMPENSABLE QUE LA FRANCE S’ENGAGE DANS LE DÉVELOPPEMENT DU BOIS-ÉNERGIE EN AMAZONIE»
Alors que de très nombreux scientifiques demandent depuis des années à l’Union européenne (UE) et à ses Etats membres de ne plus classer la biomasse primaire (bois directement issu de forêts) comme une énergie renouvelable neutre pour le climat et de ne plus la subventionner pour ne pas encourager la destruction des surfaces forestières, un amendement glissé par des députés français dans le projet de révision de la directive sur les énergies renouvelables (RED III [Renewable Energy Directive III]) menace directement la forêt amazonienne de Guyane française.
La forêt de Guyane, seule forêt amazonienne tropicale humide rattachée à l’Europe, couvre 96 % de la superficie du territoire et représente à elle seule 50 % de la biodiversité française. Cette forêt est à la fois l’une des plus riches et des moins fragmentées, reconnue comme l’une des quinze zones de forêts tropicales humides les mieux préservées de la planète. Au sein de cet espace géographique exceptionnel, la Guyane abrite 1 700 espèces d’arbres, 6 000 espèces de plantes vasculaires qui sont indispensables à la vie de milliers d’espèces d’animaux.
Fonte: https://www.lemonde.fr/idees/article/2023/02/07/il-est-impensable-que-la-france-s-engage-dans-le-developpement-du-bois-energie-en-amazonie_6160791_3232.html
De acordo com o texto, pode-se afirmar que a floresta da Guiana:
Provas
Leia o texto a seguir para responder a questão a seguir.
«IL EST IMPENSABLE QUE LA FRANCE S’ENGAGE DANS LE DÉVELOPPEMENT DU BOIS-ÉNERGIE EN AMAZONIE»
Alors que de très nombreux scientifiques demandent depuis des années à l’Union européenne (UE) et à ses Etats membres de ne plus classer la biomasse primaire (bois directement issu de forêts) comme une énergie renouvelable neutre pour le climat et de ne plus la subventionner pour ne pas encourager la destruction des surfaces forestières, un amendement glissé par des députés français dans le projet de révision de la directive sur les énergies renouvelables (RED III [Renewable Energy Directive III]) menace directement la forêt amazonienne de Guyane française.
La forêt de Guyane, seule forêt amazonienne tropicale humide rattachée à l’Europe, couvre 96 % de la superficie du territoire et représente à elle seule 50 % de la biodiversité française. Cette forêt est à la fois l’une des plus riches et des moins fragmentées, reconnue comme l’une des quinze zones de forêts tropicales humides les mieux préservées de la planète. Au sein de cet espace géographique exceptionnel, la Guyane abrite 1 700 espèces d’arbres, 6 000 espèces de plantes vasculaires qui sont indispensables à la vie de milliers d’espèces d’animaux.
Fonte: https://www.lemonde.fr/idees/article/2023/02/07/il-est-impensable-que-la-france-s-engage-dans-le-developpement-du-bois-energie-en-amazonie_6160791_3232.html
De acordo com o texto, pode-se afirmar que:
Provas
Leia o texto a seguir para responder a questão abaixo.
LES TENDANCES TECH DE 2023
À l’aube de cette nouvelle année, le monde de la tech poursuit son développement à une cadence effrénée. Intelligence artificielle, données massives, informatique «en nuage» et surtout métavers rythmeront encore une fois nos vies numériques en 2023.
Et nul besoin de sortir sa boule de cristal high-tech pour prédire quelles seront les innovations qui marqueront cette nouvelle année: toujours plus de programmes d’intelligence artificielle dans les entreprises, généralisation de l’informatique dématérialisée dite «en nuage», développement accéléré des réseaux de la 5G… Le tout sur fond d’une compétition mondiale féroce entre les géants de la tech pour la création de métavers. Ces univers 3D simulant la réalité, gérés en réseau par de puissants ordinateurs, sont accessibles par l’intermédiaire d’avatars, représentant nos doubles numériques. Cette hybridation entre le réel et le virtuel va s’accélérer en 2023, estime Jacques Moulin, directeur général du DigiWorld Institute. Ce think tank européen, qui rassemble de nombreuses personnalités du monde industriel, économique, politique et académique, prévoit que le marché des métavers devrait atteindre les 1 500 milliards de dollars d’ici à 2030.
Fonte: https://www.rfi.fr/fr/podcasts/nouvelles-technologies/20221231-les-tendances-tech-de-2023
De acordo com o texto, pode-se dizer que em 2023:
Provas
Leia o texto a seguir para responder a questão abaixo.
LES TENDANCES TECH DE 2023
À l’aube de cette nouvelle année, le monde de la tech poursuit son développement à une cadence effrénée. Intelligence artificielle, données massives, informatique «en nuage» et surtout métavers rythmeront encore une fois nos vies numériques en 2023.
Et nul besoin de sortir sa boule de cristal high-tech pour prédire quelles seront les innovations qui marqueront cette nouvelle année: toujours plus de programmes d’intelligence artificielle dans les entreprises, généralisation de l’informatique dématérialisée dite «en nuage», développement accéléré des réseaux de la 5G… Le tout sur fond d’une compétition mondiale féroce entre les géants de la tech pour la création de métavers. Ces univers 3D simulant la réalité, gérés en réseau par de puissants ordinateurs, sont accessibles par l’intermédiaire d’avatars, représentant nos doubles numériques. Cette hybridation entre le réel et le virtuel va s’accélérer en 2023, estime Jacques Moulin, directeur général du DigiWorld Institute. Ce think tank européen, qui rassemble de nombreuses personnalités du monde industriel, économique, politique et académique, prévoit que le marché des métavers devrait atteindre les 1 500 milliards de dollars d’ici à 2030.
Fonte: https://www.rfi.fr/fr/podcasts/nouvelles-technologies/20221231-les-tendances-tech-de-2023
De acordo com o texto, pode-se dizer que em 2023:
Provas
Leia o texto a seguir para responder a questão a seguir.
À LA RECHERCHE DU VÉHICULE DU FUTUR
À quoi ressembleront nos véhicules dans le futur? Pas de voiture volante (en tout cas pour l'instant), mais à des objets roulants entre le vélo et la voiture, léger, peu consommateurs en énergie et sans émission de gaz à effet de serre. Essentiels pour continuer à se déplacer sans contribuer au changement climatique. Pour les imaginer, l'Ademe, l'Agence de la transition énergétique, a lancé un défi à des dizaines d'équipes
Fonte: https://www.rfi.fr/fr/podcasts/reportage-france/20230208-%C3%A0-la-recherche-du-v%C3%A9hicule-du-futur
De acordo com o texto, o veículo do futuro deve sobretudo:
Provas
Leia o texto a seguir para responder a questão a seguir.
À LA RECHERCHE DU VÉHICULE DU FUTUR
À quoi ressembleront nos véhicules dans le futur? Pas de voiture volante (en tout cas pour l'instant), mais à des objets roulants entre le vélo et la voiture, léger, peu consommateurs en énergie et sans émission de gaz à effet de serre. Essentiels pour continuer à se déplacer sans contribuer au changement climatique. Pour les imaginer, l'Ademe, l'Agence de la transition énergétique, a lancé un défi à des dizaines d'équipes
Fonte: https://www.rfi.fr/fr/podcasts/reportage-france/20230208-%C3%A0-la-recherche-du-v%C3%A9hicule-du-futur
De acordo com o texto, pode-se afirmar que:
Provas
Caderno Container