Foram encontradas 60 questões.
Uma progressão geométrica tem primeiro termo igual a 1 e razão negativa. A soma dos três primeiros termos da progressão geométrica é igual a 7. O quinto termo da progressão geométrica é igual a
Provas
Questão presente nas seguintes provas
Em um único lançamento de uma moeda, a probabilidade de se obter “cara” é igual a probabilidade de se obter “coroa”. Carlos lançou a moeda 3 vezes. A probabilidade de ele ter obtido, nos 3 lançamentos, 2 “caras” e 1 “coroa” ou 2 “coroas” e 1 “cara” é igual a
Provas
Questão presente nas seguintes provas
No sistema decimal, a quantidade de números inteiros positivos com 4 algarismos e que têm pelo menos um algarismo ímpar é igual a
Provas
Questão presente nas seguintes provas
Em um grupo de 60 pessoas, 43 pessoas praticam futebol e 27 praticam voleibol. O menor valor possível para o número de pessoas do grupo que praticam futebol e voleibol é igual a
Provas
Questão presente nas seguintes provas
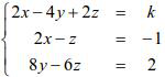
O valor de k para que o sistema de equações

seja possível e indeterminado é igual a

seja possível e indeterminado é igual a
Provas
Questão presente nas seguintes provas
No sistema decimal, o algarismo das unidades do número 7 2015 é igual a
Provas
Questão presente nas seguintes provas
Uma grandeza Z é diretamente proporcional ao produto de uma grandeza positiva X pela raiz quadrada de uma grandeza positiva Y. Se o valor de X tem uma redução percentual de 10% e, simultaneamente, o valor de Y tem um aumento percentual de 21%, então o valor de Z
Provas
Questão presente nas seguintes provas
A função quadrática f ( x ) = a x2 + bx + 40 assume valor mínimo para x = 7 /2 , e seu valor mínimo é igual a –9. O valor de f (1) é igual a
Provas
Questão presente nas seguintes provas
Leia a charge abaixo e responda à questão.
O recurso linguístico expressivo usado em "É porque a consciência delas também deve estar secando!" denomina-se
O recurso linguístico expressivo usado em "É porque a consciência delas também deve estar secando!" denomina-se
Provas
Questão presente nas seguintes provas
Leia a charge abaixo e responda à questão.
Observe o diálogo entre "filho" e "pai" na charge. Nesse texto, a palavra "porque" foi usada de duas formas diferentes. Preencha as lacunas utilizando CORRETAMENTE as formas por quê, porque, por que e porquê:
I. A escassez de água no Brasil não é um problema pontual; eis __________ estamos todos preocupados.
II. Não poluam os rios, _________ o prejuízo é de todos.
III. Eu não sei o __________ de tanto desperdício de água.
IV. Faltou água em Guarapari _____________ ?
V. Eu não sei _____________ muitas pessoas não cuidam dos nossos rios e mares.
A alternativa que contém a sequência CORRETA de respostas, de cima para baixo, é
Observe o diálogo entre "filho" e "pai" na charge. Nesse texto, a palavra "porque" foi usada de duas formas diferentes. Preencha as lacunas utilizando CORRETAMENTE as formas por quê, porque, por que e porquê:
I. A escassez de água no Brasil não é um problema pontual; eis __________ estamos todos preocupados.
II. Não poluam os rios, _________ o prejuízo é de todos.
III. Eu não sei o __________ de tanto desperdício de água.
IV. Faltou água em Guarapari _____________ ?
V. Eu não sei _____________ muitas pessoas não cuidam dos nossos rios e mares.
A alternativa que contém a sequência CORRETA de respostas, de cima para baixo, é
Provas
Questão presente nas seguintes provas
Cadernos
Caderno Container