Foram encontradas 50 questões.
O peróxido de hidrogênio é um oxidante químico que pode ser usado no tratamento de efluentes como agente de desinfecção e remoção de odor. Seu número de oxigênio reativo disponível por mol de oxidante é igual a um. Considerando um efluente rico em fenol (C6H5OH), numa concentração de 3 x 10-3 mol L-1 e vazão de 104 L dia-1, cuja reação de oxidação é dada a seguir.
!$ C_6H_5OH + 14[O^.] \rightarrow 6 CO_2 + 3H_2O !$
A quantidade de oxidante, em kg, necessária para oxidar essa produção diária é de:
Provas
Questão presente nas seguintes provas
Dentre as regiões do espectro eletromagnético, apresentadas abaixo, a que apresenta a radiação de menor comprimento de onda é:
Provas
Questão presente nas seguintes provas
O informativo distribuído pela Universidade Federal de Goiás (UFG) no ano de 2011 (UFG em Números – Ano Base 2010) mostra que o número de servidores (técnicos administrativos), a partir de 2008, variou conforme tabela a seguir.

Essa tabela foi criada no aplicativo de planilha eletrônica (CALC) do BrOffice 2, versão em português. A fórmula inserida na célula C5 da tabela, que calcula o valor apresentado, é:
Provas
Questão presente nas seguintes provas
O ferro gusa, ou ferro bruto, é obtido a partir da fusão do minério de ferro em um alto forno. A produção de 1,0 ton de ferro gusa consome 0,25 ton de calcário (CaCO3). Considerando- se apenas a decomposição do calcário, a massa,em kg, de gás carbônico produzida na obtenção de 1,3 ton de ferro gusa é de:
Provas
Questão presente nas seguintes provas
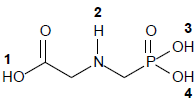
A persistência de um agrotóxico no meio ambiente está relacionada, entre outros fatores, ao seu pH. No caso do glifosato, que é o princípio ativo de um herbicida organofosforado, sua fórmula estrutural está mostrada abaixo, juntamente com uma numeração referente aos hidrogênios.

A ordem decrescente de acidez dos hidrogênios indicados na figura é:
Provas
Questão presente nas seguintes provas
O álcool vanilílico pode ser obtido a partir da vanilina conforme a reação abaixo.

Esse processo é uma
Provas
Questão presente nas seguintes provas
A tabela dinâmica é uma poderosa ferramenta para a geração de relatórios do Microsoft Office 2010 (Excel). A figura a seguir mostra, da direita para esquerda, o mecanismo do fluxo de dados para a criação dos relatórios: a) fonte de dados; b) lista de campos; c) leiaute do relatório.

O item 3, que aparece tanto na lista de campos b) quanto no leiaute de relatório c), é nomeado de
Provas
Questão presente nas seguintes provas
Uma empresa tem 15 funcionários, sendo sete mulheres eoito homens, todos desempenhando a mesma função. A empresa gasta R$ 19.140,00 com o pagamento dos salários de seus funcionários. Para equiparar os vencimentos das mulheres com o dos homens, a empresa concedeu um aumento de 30% nos salários das mulheres. Após esse aumento, o gasto total da empresa subiu para R$ 21.450,00.
Nessas condições, o salário de uma mulher nessa empresa, antes do aumento de 30%, era:
Provas
Questão presente nas seguintes provas
A recristalização é uma técnica de purificação que se baseia na baixa solubilidade a frio e na alta solubilidade a quente de uma determinada substância em um solvente. O gráfico abaixo mostra o comportamento da solubilidade de um soluto nos solventes I a IV, em função da temperatura.

Com base nesse gráfico, qual seria o solvente ideal para purificar esse sólido, através da recristalização?
Provas
Questão presente nas seguintes provas
O espectro de massas de uma nota de 50 reais identificou um contaminante com massa molar 304 g mol-1, que corresponde à molécula de cocaína protonada. Combase nessa massa molar, qual das estruturas abaixo pode representar a cocaína protonada?
Química Nova, 34, 1717, 2011 (Adaptado).
Provas
Questão presente nas seguintes provas
Cadernos
Caderno Container