Foram encontradas 470 questões.
Tendo como base o diagrama de fases Chumbo-Estanho mostrado abaixo, responda à questão.

Fonte: CALLISTER Jr., W. D.; RETHWISCH, G.. Ciência e Engenharia de Materiais - Uma Introdução. 8. ed. São Paulo: LTC, 2012. p. 255.
Uma liga composta de 20% de estanho (%a), resfriada em equilíbrio nas temperaturas de 350, 275, 200 e 100 °C, teria as seguintes composições:
Provas
Analise o diagrama de fases Cobre-Níquel que segue para responder à questão:

Fonte: CALLISTER Jr., W. D.; RETHWISCH, G..
Ciência e Engenharia de Materiais - Uma Introdução. 8. ed. São Paulo: LTC, 2012. p. 246.
Uma liga composta de 50% de cobre e 50% de níquel, resfriada em equilíbrio nas temperaturas de 1400, 1300 e 1200 °C teriam as seguintes estruturas:
Provas
No contexto de equilíbrio de fases, um sistema é dito metaestável quando
Provas
Em diversos gráficos pressão versus temperatura de substâncias puras é possível localizar o ponto crítico. Neste contexto, a definição que melhor representa esse fenômeno é:
Provas
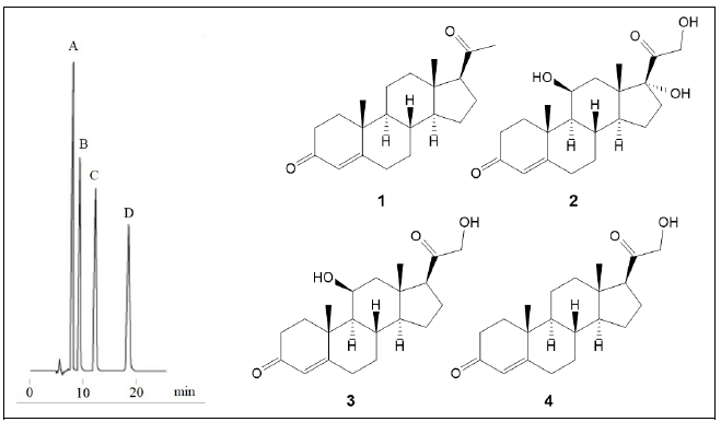
O cromatograma a seguir representa a separação dos hormônios representados pelas estruturas 1 a 4, através da cromatografia líquida de alta eficiência (HPLC) em fase reversa. O eluente foi metanol:água – 40:60.

Com base nesse cromatograma, os picos A, B, C e D estão respectivamente relacionados às estruturas
Provas
A curva de titulação do H3PO3 com solução padrão de NaOH é apresentada a seguir.

Nesse caso, A, B, C, D e E indicam, respectivamente:
Provas
Um procedimento analítico para obtenção de alumínio por eletrólise consistiu em passar uma corrente de 2,0 x 103 A durante 30 minutos. Sabendo que a meia-reação de eletrodeposição do alumínio é Al3+(aq) + 3e- → Al(s) e F = 96485 C mol-1, a massa de alumínio, em g, depositada nesse processo foi de
Provas
A constante de equilíbrio para a formação de La(NO3)3·(n- C4H9O)3PO a partir da solução aquosa de La(NO3)3 e (n- C4H9O)3PO dissolvido em querosene é igual a 0,09 a 303 K. Considere uma mistura em equilíbrio com 2,5 mol do nitrato, 4,7 mol do fosfato e 0,7 mol do complexo quando são adicionados 5 mol do fosfato. Nesse caso, a quantidade, em mol, do complexo em equilíbrio será igual a
Provas
Para determinar a capacidade calorífica de um calorímetro de copo, 100 mL de água destilada, a uma temperatura de 26,6 oC, são misturados no calorímetro com 50 mL de água gelada que está a uma temperatura de 8,4 ºC. A temperatura final da mistura no calorímetro foi de 22,7 ºC. A capacidade calorífica da água é 1,0 cal g-1 ºC-1 e as densidades da água nas temperaturas de 26,6 e 8,4 oC são, respectivamente, 0,99663 e 0,99978 g cm-3. Com base nesses dados, a capacidade calorífica do calorímetro, em cal ºC-1, é igual a
Provas
O produto da epoxidação de um determinado alceno é apresentado a seguir.

A abertura desse epóxido, catalisada por ácido, com posterior neutralização, resultou no diol
Provas
Caderno Container