Foram encontradas 125 questões.
Com relação ao desenvolvimento de aplicações Web usando Java, assinale a alternativa correta.
Provas
- Acessibilidadee-MAG: Modelo de Acessibilidade de Governo Eletrônico
- AcessibilidadeWCAG: Diretrizes de Acessibilidade a Conteúdos da Web
- WebW3C Standards
Com relação ao W3C e seus padrões, analise as sentenças apresentadas.
I. HTML, XHTML, XML e CSS estão entre os padrões web definidos pelo W3C.
II. O W3C é uma comunidade internacional que desenvolve padrões com o objetivo de garantir o crescimento da web.
III. Tanto XML, quanto XHTML e HTML são linguagens de marcação que combinam texto (dados), informação sobre o texto (semântica) e formatação (aparência) para disponibilizar informações na Internet.
IV. Entre os exemplos de padrões de acessibilidade, estão o WCAG (Web Content Accessibility Guidelines), recomendado pelo W3C, e o padrão brasileiro e-MAG (Modelo de Acessibilidade de Governo Eletrônico), sendo obrigatória a observância deste último nos sites e portais do governo brasileiro.
Assinale a alternativa que contém as informações verdadeiras.
Provas
Com relação ao código exibido logo em seguida, assinale a alternativa correta.
| <!DOCTYPE html PUBLIC "-//W3C//DTD XHTML 1.1//EN" |
Provas
Considere um banco de dados PostgreSQL, cujas tabelas e colunas estão representadas a seguir.
| Tabela: Proprietario | |||
| Num | NomeProprietario | RG | Telefone |
| Tabela: Carro | |||||
| Placa | Cor | Modelo | Valor | NumProp | CodigoMontadora |
| Tabela: Montadora | |||
| Código | Nome | Cidade | Email_suporte |
As chaves primárias das tabelas Proprietario, Carro e Montadora são, respectivamente, {Num}, {Placa} e {Código}, e estão representadas por um sublinhado. As colunas NumProp e CodigoMontadora da tabela Carro são chaves estrangeiras referentes às colunas Num, da tabela Cliente, e Codigo, da tabela Montadora, respectivamente. Considere que existem muitos dados na base (não representados na figura) e que todos os atributos (colunas das tabelas) são atômicos e monovalorados. Assinale a alternativa correta que contém o comando SQL, cujo resultado contenha o nome e o telefone de todos os proprietários que possuem um carro de cor 'Azul' da montadora que tem o nome de ‘Fiat’.
Provas
Considere o seguinte comando em SQL.
| alter table (X) add (Y) (Z); |
Três partes desse comando foram omitidas e substituídas pelos valores hipotéticos (X), (Y) e (Z). Sobre o resultado do comando supracitado, assinale a alternativa correta.
Provas
- Banco de Dados RelacionalDependência Funcional
- Banco de Dados RelacionalNormalização1FN: Primeira Forma Normal
- Banco de Dados RelacionalNormalização2FN: Segunda Forma Normal
- Banco de Dados RelacionalNormalização3FN: Terceira Forma Normal
Em um banco de dados de uma loja de departamentos, foi encontrada a relação Empregado (descrita a seguir), que tem este objetivo principal: armazenar o número de CPF (Cadastro de Pessoas Físicas), nome, data de nascimento e endereço dos empregados, além de indicar o número e o nome do departamento em que os empregados trabalham. A loja possui apenas três departamentos, sendo o departamento número 1, de nome "Cozinha"; o departamento número 2, "Eletrônicos"; e o departamento número 3, "Cama e Banho". A chave primária é {cpf}, único atributo grifado na relação Empregado, mostrada no quadro a seguir.
| Empregado = {cpf, nome, data_nascimento, endereço, numero_departamento, nome_departamento} |
Assinale a alternativa correta sobre normalização da relação Empregado, considerando que todos os atributos são atômicos e monovalorados.
Provas
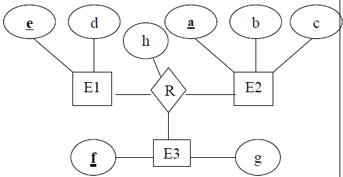
Observe o seguinte Modelo Entidade- Relacionamento.

Agora, considere as seguintes informações: 1ª) E1, E2 e E3 são conjuntos de entidades; 2ª) R é um conjunto de relacionamentos; 3ª) os atributos são representados pelas letras minúsculas "a" até "h", todos atômicos e monovalorados; 4ª) as chaves primárias estão sublinhadas. Portanto, as chaves primárias de E1, E2 e E3 são, respectivamente, {e}, {a} e {f}. Assinale a alternativa correta em relação ao mapeamento do Modelo Entidade-Relacionamento para o Modelo Relacional, sendo que nenhuma nova coluna e/ou chave poderá ser criada durante o mapeamento.
Provas
- Banco de Dados RelacionalTipos de ChavesChave Candidata
- Banco de Dados RelacionalTipos de ChavesChave Primária
- Banco de Dados RelacionalTipos de ChavesSuperchave
Em um Modelo Entidade-Relacionamento, considere um conjunto de entidades PessoaFisica com os seguintes atributos:
| PessoaFisica = {nome, sobrenome, altura, peso, cpf, rg, email} |
Sabe-se que os atributos são atômicos, monovalorados e não podem ser nulos, ou seja, são de preenchimento obrigatório. Considere que cada um dos atributos {cpf}, {rg} e {email} é único para cada pessoa física. Assinale a alternativa correta, em relação aos conceitos de superchave, chave, chave candidata e chave primária.
Provas
Analise a figura a seguir.

Assinale a alternativa correta em relação ao diagrama apresentado.
Provas
Em um Diagrama de Classe, existem relacionamentos que interligam as classes/objetos entre si, criando relações lógicas. A partir disso, analise a figura a seguir.

Assinale a alternativa correta em relação ao que foi demonstrado.
Provas
Caderno Container