Foram encontradas 125 questões.
Observe a figura a seguir.

Com base nessa curva, assinale a alternativa verdadeira.
Provas
A Extreme Programming (XP) é talvez o mais conhecido e mais amplamente usado dos métodos ágeis. O nome se deve ao fato de que a abordagem foi desenvolvida pelo avanço do desenvolvimento iterativo e o envolvimento do cliente em níveis “extremos”. Dentro desse contexto, assinale a alternativa correta.
Provas
- Fundamentos de ProgramaçãoEstruturas de DadosEstrutura de Dados: Fila
- Fundamentos de ProgramaçãoEstruturas de DadosEstrutura de Dados: Vetor
Observe as seguintes considerações: 1ª) as operações de inserção e remoção de elementos do tipo inteiro, em uma fila circular, são, respectivamente ENQUEUE(Q, x) e DEQUEUE(Q), onde Q é a fila, e x, um elemento a ser inserido ou removido da fila; 2ª) toda fila tem início e fim; 3ª) após a operação DEQUEUE(Q), a posição onde estava o elemento retirado da fila torna-se vazia. Sobre uma fila Q, inicialmente vazia no vetor Q[1..5], assinale alternativa que resulta da seguinte sequência de operações: ENQUEUE(Q, 3), ENQUEUE(Q, 8), ENQUEUE(Q, 7), DEQUEUE(Q), ENQUEUE(Q, 1), DEQUEUE(Q), ENQUEUE(Q, 6), ENQUEUE(Q, 5).
Provas
O Scrum é um framework para desenvolvimento. Assinale, dentre as afirmações a seguir, a alternativa que NÃO se aplica ao Scrum.
Provas
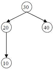
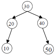
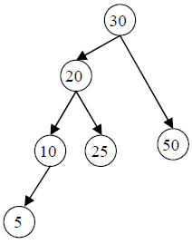
Considere as seguintes árvores binárias de busca.
| I | |
| II | |
| III | |
Assinale a alternativa que apresenta árvores balanceadas AVL?
Provas
Assinale a alternativa que apresenta a vantagem na construção de algoritmos compostos por módulos, ou seja, a construção de algoritmos por meio da modularização.
Provas
- Fundamentos de ProgramaçãoAlgoritmosConstrução de Algoritmos
- Fundamentos de ProgramaçãoEstruturas de Repetição
- Fundamentos de ProgramaçãoEstruturas de DadosEstrutura de Dados: Matriz
A função a seguir efetua a multiplicação entre duas matrizes – Am x p e Bq x n –, resultando em uma matriz Cm x n.
| função MultiplicaMatriz(A[1..m][1..p], B[1..q][1..n]): C[1..m][1..n] |
A parte que falta para completar a estrutura de repetição “para” é?
Provas
- Paradigmas de ProgramaçãoOrientação a ObjetosOrientação a Objetos: Herança
- Paradigmas de ProgramaçãoOrientação a ObjetosOrientação a Objetos: Polimorfismo
Leia o código a seguir.
| public class SuperClasse |
Considerando os conceitos de orientação a objetos, o trecho de código apresentado ilustra o uso exatamente de
Provas
- Paradigmas de ProgramaçãoOrientação a ObjetosOrientação a Objetos: Classes e Objetos
- Paradigmas de ProgramaçãoOrientação a ObjetosOrientação a Objetos: Herança
Sobre conceitos envolvendo técnicas de orientação a objetos, assinale a alternativa correta.
Provas
- Fundamentos de ProgramaçãoAlgoritmosAvaliação de Expressões
- Fundamentos de ProgramaçãoFunções, Métodos e Procedimentos
- Fundamentos de ProgramaçãoLógica de Programação
- Fundamentos de ProgramaçãoRecursividade
Considerando x um número pertencente ao conjunto dos números reais, sendo ρ(x) o piso de x (ou seja, o maior inteiro não excedendo x), observe a seguinte função recursiva.
| função Recursiva(y: inteiro, z: inteiro) |
Qual será o retorno dessa função, na sua primeira invocação, com y igual a 4 e z igual 3?
Provas
Caderno Container