Foram encontradas 670 questões.
É CORRETO afirmar, segundo Pain (1989), que o tratamento psicopedagógico tem como objetivo:
Provas
Questão presente nas seguintes provas
A quantidade de calor (Q) desenvolvida na área de contato de duas chapas na soldagem por resistência é regida pela Lei de Joule. Se uma corrente de 10 A é imposta nesse processo com resistência de !$ 20 \Omega !$, por um tempo de 2 segundos e desconsiderando perdas de calor, o valor de Q é:
Provas
Questão presente nas seguintes provas
Apresentam-se as proposições I, II, III e IV sobre aspectos teóricos das técnicas cromatográficas.
I – O tempo de retenção para um analito é o intervalo de tempo que decorre entre sua injeção em uma coluna e seu aparecimento no detector no final da coluna.
II – O fator de capacidade ou de retenção é definido como a razão de distribuição do analito entre as fases estacionária e móvel; quanto menor esse fator, maior a afinidade do analito pela fase estacionária, em relação à fase móvel.
III – O fator de seletividade é a razão entre os fatores de retenção de dois analitos; quanto maior essa razão, mais difícil será a separação.
IV – A eficiência cromatográfica aumenta à medida que o número de pratos se torna maior, e a altura do prato torna-se menor.
Assinale a alternativa CORRETA.
Provas
Questão presente nas seguintes provas
Apresentam-se, a seguir, proposições concernentes ao tratamento de esgotos:
I – No tratamento primário, predominam os processos físicos de remoção de poluentes.
II – No tratamento secundário, objetiva-se principalmente a remoção de matéria orgânica por meio de processos biológicos.
III – No tratamento terciário, objetiva-se a remoção de materiais grosseiros.
Assinale a alternativa CORRETA.
Provas
Questão presente nas seguintes provas
No sistema de plantio direto, entre outras vantagens em relação ao sistema convencional, no solo é maior a disponibilidade de vários nutrientes essenciais às culturas. Sobre o tema, é correto afirmar, EXCETO:
Provas
Questão presente nas seguintes provas
O controle e a redução da contaminação de solos e águas subterrâneas por produtos químicos, como os herbicidas, tem sido uma preocupação. Considerando a fitorremediação, ocorre um processo denominado fitodegradação. É CORRETO afirmar que:
Provas
Questão presente nas seguintes provas
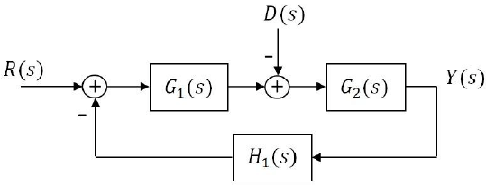
A presença de distúrbios em sistemas de controle deve ser considerada para a obtenção de controladores mais robustos. Considere um sistema de controle em malha-fechada, com a seguinte representação em diagrama de blocos:

Considere !$ R(s)=0 !$
Assinale a alternativa CORRETA.
Provas
Questão presente nas seguintes provas
A ação educativa, elemento fundamental da sustentação do museu, deve ser considerada no processo de exposição museológica, a partir da seguinte etapa:
Provas
Questão presente nas seguintes provas
Em relação ao Lodo de Esgoto, considere as seguintes proposições:
I – O adensamento aumenta o teor de sólidos do Lodo seco.
II – A estabilização química aumenta a massa de sólidos secos no Lodo.
III – O acondicionamento químico diminui a massa de sólidos secos no Lodo.
IV – A desidratação aumenta o teor de sólidos do Lodo seco.
Assinale a alternativa CORRETA.
Provas
Questão presente nas seguintes provas
Quanto ao sistema de reprodução, as plantas das culturas soja, feijão, trigo e arroz são autógamas. Isso significa que:
Provas
Questão presente nas seguintes provas
Cadernos
Caderno Container