Foram encontradas 60 questões.
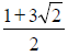
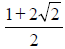
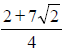
Considere todos os números naturais, b e d, distintos e não nulos, tais que b é divisível por 60
e d é divisível por 126.
Assinale a alternativa INCORRETA.
Assinale a alternativa INCORRETA.
Provas
Questão presente nas seguintes provas
Filipe montou uma estrutura em forma de triângulo retângulo. Para reforçá-la, encaixou nela uma
vara reta que ficou perpendicular à hipotenusa e com um dos seus extremos no vértice formado
pelos catetos. Se os catetos da estrutura triangular inicial medem um deles 5 m e o outro 12 m, a
vara deve medir, em metros,
Provas
Questão presente nas seguintes provas
O saldo de gols, diferença entre os gols marcados e os gols sofridos, de certa seleção na Copa do
Mundo de futebol foi de menos 3 gols. Se, nesse caso, o dobro do número de gols marcados excedeu
em 2 o número de gols sofridos, é CORRETO afirmar que essa seleção sofreu
Provas
Questão presente nas seguintes provas
Um motorista viajou de Belo Horizonte para Montes Claros, percorrendo um total de 420 km. Nos
primeiros dois terços da viagem, o computador de bordo do carro registrou que o gasto de combustível
havia sido de 12,5 litros para cada 100 km percorridos. No restante da viagem, o computador de
bordo registrou um gasto de 10 litros de combustível para cada 100 km percorridos.
Com base nessas informações, qual foi o gasto total de combustível no percurso todo?
Com base nessas informações, qual foi o gasto total de combustível no percurso todo?
Provas
Questão presente nas seguintes provas
Leia a reportagem a seguir.
Para compensar a queda de 46 centavos de real no preço do diesel e o congelamento do valor do combustível pelos próximos 60 dias, o presidente do Brasil reduziu benefícios fiscais a setores da economia, mas também cortou recursos em programas de saúde, educação, reforma agrária, ciência, além de cancelar iniciativas para mulheres, jovens e indígenas. O presidente reduziu em 3 bilhões de reais os investimentos em pastas federais. Uma das principais perdas foi no programa para fortalecer o Sistema Único de Saúde, que perdeu 135 milhões de reais do Fundo Nacional de Saúde.
Disponível em: https://www.cartacapital.com.br/politica/governo-temer-corta-programas-sociaispara-reduzir-diesel. Acesso em: 14 jun. 2018. (Adaptado)
De acordo com as informações acima, é CORRETO afirmar que, do total da redução de investimentos em pastas federais, a perda no programa para fortalecer o Sistema Único de Saúde representa
Para compensar a queda de 46 centavos de real no preço do diesel e o congelamento do valor do combustível pelos próximos 60 dias, o presidente do Brasil reduziu benefícios fiscais a setores da economia, mas também cortou recursos em programas de saúde, educação, reforma agrária, ciência, além de cancelar iniciativas para mulheres, jovens e indígenas. O presidente reduziu em 3 bilhões de reais os investimentos em pastas federais. Uma das principais perdas foi no programa para fortalecer o Sistema Único de Saúde, que perdeu 135 milhões de reais do Fundo Nacional de Saúde.
Disponível em: https://www.cartacapital.com.br/politica/governo-temer-corta-programas-sociaispara-reduzir-diesel. Acesso em: 14 jun. 2018. (Adaptado)
De acordo com as informações acima, é CORRETO afirmar que, do total da redução de investimentos em pastas federais, a perda no programa para fortalecer o Sistema Único de Saúde representa
Provas
Questão presente nas seguintes provas
Considere a desigualdade 3x + 5 > 0, em que x∈IR.
Assinale a alternativa CORRETA.
Provas
Questão presente nas seguintes provas
Henrique estava fazendo pulseiras para vender. Ele decidiu anotar o número de pulseiras que tinha.
Ao iniciar o registro, ele já tinha algumas pulseiras. Após 10 minutos, 20 minutos e meia hora do
início do registro, ele anotou 5 pulseiras, 7 pulseiras e 9 pulseiras, respectivamente. Se Henrique
sempre faz todas as pulseiras em um mesmo ritmo, qual o total de pulseiras que ele terá 3 horas
depois de iniciar o registro?
Provas
Questão presente nas seguintes provas
Na figura a seguir, um trapézio foi representado em um plano cartesiano.
Sabe-se que B = (-2, -3) , C = (-7, -3) , D = (-7, 1) e E = (-7/2,0).
DETERMINE a área do trapézio ABCD.
DETERMINE a área do trapézio ABCD.
Provas
Questão presente nas seguintes provas
Na primeira fase da Copa do Mundo de futebol, as 32 seleções foram divididas em grupos com 4
seleções em cada. Em cada um desses grupos, todas as seleções jogaram entre si, resultando
em 6 jogos por grupo. O quadro a seguir mostra o número de seleções, segundo o número de gols
marcados, ao final da primeira fase.
Assinale a alternativa que apresenta o valor mais próximo do número médio de gols por jogo da primeira fase.
Assinale a alternativa que apresenta o valor mais próximo do número médio de gols por jogo da primeira fase.
Provas
Questão presente nas seguintes provas
O tangram é um famoso quebra-cabeça chinês de sete peças conforme figura a seguir. Certo tangram
foi construído a partir de um quadrado, ABCD, de lado 1 decímetro. Sabe-se que os pontos H, I, E,
F, G e J são pontos médios dos segmentos DI, DB, IB, BC, FJ e CD, respectivamente.
DETERMINE o perímetro, em decímetros, do trapézio EFGH.
DETERMINE o perímetro, em decímetros, do trapézio EFGH.
Provas
Questão presente nas seguintes provas
Cadernos
Caderno Container