Magna Concursos

Foram encontradas 60 questões.

881572 Ano: 2019
Disciplina: Matemática
Banca: UFMG
Orgão: UFMG
Provas:
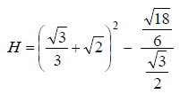
Considere a expressão
enunciado 881572-1
Dentre as alternativas a seguir, ASSINALE a que apresenta o valor mais próximo de H.
 

Provas

Questão presente nas seguintes provas
881571 Ano: 2019
Disciplina: Estatística
Banca: UFMG
Orgão: UFMG
Provas:
O gráfico a seguir apresenta as informações sobre a intenção de votos dos eleitores da população de um determinado país para disputa à Presidência da República entre 5 candidatos (A, B, C, D e E).
enunciado 881571-1
Considerando apenas os votos válidos, ou seja, excluindo os votos brancos ou nulos, qual seria a intenção de votos para o candidato B?
 

Provas

Questão presente nas seguintes provas
881570 Ano: 2019
Disciplina: Matemática
Banca: UFMG
Orgão: UFMG
Provas:
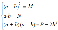
Considere os números reais a, b, M, N e P, tais que
enunciado 881570-1
Desse modo, é CORRETO afirmar que o valor de P, em função de M e N, é
 

Provas

Questão presente nas seguintes provas
881569 Ano: 2019
Disciplina: Matemática
Banca: UFMG
Orgão: UFMG
Provas:
A figura a seguir representa uma pista de atletismo de dois trechos retos paralelos e dois trechos curvos, cada um destes desenhado a partir de semicircunferências concêntricas. Cada trecho reto tem 100 metros de comprimento e a diferença entre o comprimento da borda externa da pista, que passa por A, B, C e D, e o comprimento da borda interna da pista, que passa por E, F, G e H, é igual a 20 π metros.
enunciado 881569-1
DETERMINE a diferença, em metros, entre os raios das semicircunferências de diâmetros AD e EH.

 

Provas

Questão presente nas seguintes provas
881568 Ano: 2019
Disciplina: Português
Banca: UFMG
Orgão: UFMG
Provas:
Assinale a alternativa que apresenta apreciação CORRETA sobre a obra Morte e Vida Severina.
 

Provas

Questão presente nas seguintes provas
881566 Ano: 2019
Disciplina: Português
Banca: UFMG
Orgão: UFMG
Provas:
Considerando a designação da obra Morte e Vida Severina como “Auto de Natal”, é INCORRETO afirmar que
 

Provas

Questão presente nas seguintes provas
881565 Ano: 2019
Disciplina: Português
Banca: UFMG
Orgão: UFMG
Provas:
Assinale a alternativa que explica o fato de a personagem principal de Morte e Vida Severina ser denominada de “Severino”.
 

Provas

Questão presente nas seguintes provas
881564 Ano: 2019
Disciplina: Português
Banca: UFMG
Orgão: UFMG
Provas:
A alternativa em que os dois termos NÃO se relacionam apropriadamente de acordo com a obra Morte e Vida Severina é
 

Provas

Questão presente nas seguintes provas
881563 Ano: 2019
Disciplina: Português
Banca: UFMG
Orgão: UFMG
Provas:
Ao relacionarmos as leituras dos textos 1 e 2, é CORRETO afirmar que
 

Provas

Questão presente nas seguintes provas
881555 Ano: 2019
Disciplina: Português
Banca: UFMG
Orgão: UFMG
Provas:
Assinale a alternativa CORRETA tendo em vista a estável repetição de versos observada em Morte e Vida Severina.
 

Provas

Questão presente nas seguintes provas