Foram encontradas 610 questões.
Para a realização de cultura de Mycobacterium tuberculosis a partir de uma amostra de escarro, qual a conduta adequada?
Provas
Questão presente nas seguintes provas
O hemograma completo é um exame laboratorial de rotina muito importante para diagnóstico e acompanhamento de várias patologias, como as anemias e as infecções de forma geral. Para realização do hemograma, qual anticoagulante deverá ser utilizado para coleta da amostra biológica?
Provas
Questão presente nas seguintes provas
Considere a modelagem conceitual no Modelo Entidade-Relacionamento abaixo.

O comando SQL que cria as tabelas equivalentes à modelagem é:
Provas
Questão presente nas seguintes provas
Os sistemas de redes normalmente inserem bits ou bytes extras para modificar os dados visando à transmissão.
Essa ação denomina-se:
Provas
Questão presente nas seguintes provas
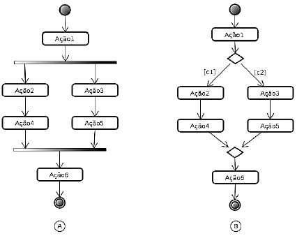
Analise os diagramas de atividades fornecidos, construídos segundo notações da linguagem de modelagem UML (Linguagem de Modelagem Unificada).

Sobre os diagramas, assinale a afirmativa correta.
Provas
Questão presente nas seguintes provas
O CONAR é:
Provas
Questão presente nas seguintes provas
1747976
Ano: 2017
Disciplina: Direito Cultural, Desportivo e da Comunicação
Banca: UFMT
Orgão: UFMT
Disciplina: Direito Cultural, Desportivo e da Comunicação
Banca: UFMT
Orgão: UFMT
Provas:
O movimento humano deve ser levado em consideração para as mais variadas formas de intervenção, partindo da posição anatômica humana, que deve ser assim descrita:
Provas
Questão presente nas seguintes provas
Tempos modernos ?
O que acontece quando uma pessoa que vive à caça da informação em tempo real, cidadã de Nova York, se vê completamente desconectada, presa entre dunas do maior deserto do mundo?
O Sahara talvez seja como a própria tristeza: aqui não há começo nem fim. Não se sabe onde nasce o céu ou onde morre o horizonte. E para mim, que moro em Manhattan, aquela ilha apertada, com começo, meio, fim e gente, muita gente, passar uma noite aqui, nesta imensidão, é como pousar na Lua. No deserto, quem manda é o silêncio. Ele nos cala. E é ele que nos faz sentir o quão longe estamos de tudo o que conhecemos e o quão perto estamos do que somos. [...].
Sahara, em árabe, quer dizer deserto. Aqui, sente-se a vida mais longa, estirada – e as noites mais curtas. Imponentes e magistrais, as dunas nos intimidam. São gigantes de areia cujo tamanho não conseguimos decifrar. Dizem, porém, que algumas chegam a 159 metros de altura. [...].
Esta vastidão faz parte de poemas, lendas e batalhas dos tuaregs, povos tribais que até hoje fazem daqui a sua terra. É impressionante como eles sabem onde é norte, sul, e como calculam as distâncias, guiando-se pelas estrelas. É como se, para eles, tudo fosse sinalizado, como se houvesse placas por todos os lados neste mar de areia. [...] Nesta noite, aqui no deserto, celebro dez anos do dia em que cheguei a Nova York. Dez anos. O tempo voou e eu nem percebi. Agora, ele está congelado, petrificado. Ironicamente, foi preciso um deserto para tamanha façanha.
(MENAI, T. Trip. Ano 19, n.º 140.)
Na composição de um texto, as figuras de linguagem são recursos estilísticos muito importantes. Sobre figuras presentes nesse texto, assinale a alternativa que apresenta correta correlação entre a figura dada e o trecho do texto.
Provas
Questão presente nas seguintes provas
1746184
Ano: 2017
Disciplina: Direito Cultural, Desportivo e da Comunicação
Banca: UFMT
Orgão: UFMT
Disciplina: Direito Cultural, Desportivo e da Comunicação
Banca: UFMT
Orgão: UFMT
Provas:
As células musculares são células contráteis que, em interação com os ossos, são responsáveis mecânicos pelos movimentos corporais. Em se tratando de contrações musculares, é correto afirmar que podem ser:
Provas
Questão presente nas seguintes provas
Quando se trabalha no sistema RGB, produz-se a peça publicitária para
Provas
Questão presente nas seguintes provas
Cadernos
Caderno Container