Foram encontradas 609 questões.
Um químico analisou a amostra de um mineral. A análise gera massa que são mais baixas por um fator de 0,4
mg. Assinale a alternativa que apresenta o erro relativo percentual provocado por essa incerteza, sabendo que a
massa do mineral é de 700 mg.
Provas
Questão presente nas seguintes provas
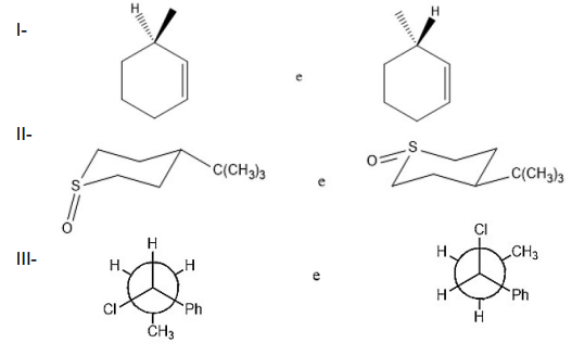
Analise os pares de compostos abaixo.
As relações estereoquímicas existentes entre eles são, respectivamente:
As relações estereoquímicas existentes entre eles são, respectivamente:
Provas
Questão presente nas seguintes provas
No laboratório de físico-química, os alunos montaram uma pilha de zinco e estanho, em que o potencial-padrão de redução do eletrodo de zinco é -0,76 V, e a FEM padrão da pilha Zn(s) | Zn2+(aq) || Sn4+(aq), Sn2+(aq)| Pt(s) é +0,91 V. O potencial-padrão do eletrodo Sn4+ | Sn2+ é
Provas
Questão presente nas seguintes provas
Um técnico em química precisa fazer a calibração de um instrumento e nesse procedimento é necessário manter o fluxo constante da solução usada na calibração. A vidraria mais adequada para manter esse fluxo seria
Provas
Questão presente nas seguintes provas
O uso de métodos de separação de mistura é algo rotineiro em um laboratório de química. Com base no assunto,analise as afirmativas a seguir.
I. A destilação simples é utilizada para separação de misturas heterogêneas baseada na diferença de temperatura de ebulição dos componentes.
II. A decantação é um processo físico utilizado na separação de misturas heterogêneas com base na diferença de densidade dos componentes da mistura.
III. A cromatografia é um processo físico-químico de separação de mistura que se baseia nas diferentes interaçõesdos componentes da mistura com as fases estacionárias e móvel do sistema cromatográfico.
Está(ão) correta(s)
I. A destilação simples é utilizada para separação de misturas heterogêneas baseada na diferença de temperatura de ebulição dos componentes.
II. A decantação é um processo físico utilizado na separação de misturas heterogêneas com base na diferença de densidade dos componentes da mistura.
III. A cromatografia é um processo físico-químico de separação de mistura que se baseia nas diferentes interaçõesdos componentes da mistura com as fases estacionárias e móvel do sistema cromatográfico.
Está(ão) correta(s)
Provas
Questão presente nas seguintes provas
O uso de baterias faz parte do cotidiano humano. Uma bateria eletroquímica utiliza a energia de uma reação de oxirredução para produzir uma corrente elétrica. Com base no assunto, classifique as afirmativas abaixo como Verdadeiras (V) ou Falsas (F).
(__) O agente oxidante e o agente redutor são, respectivamente, a espécie que sofre redução e a espécie que é oxidada.
(__) O agente oxidante e o agente redutor são, respectivamente, a espécie que sofre oxidação e a espécie que é reduzida.
(__) Anodo é o eletrodo no qual ocorre a redução e catodo é o eletrodo no qual ocorre a oxidação.
(__) Anodo é o eletrodo no qual ocorre a oxidação e catodo é o eletrodo no qual ocorre a redução.
(__) A ponte salina deve conter um eletrólito forte.
(__) A ponte salina deve conter um eletrólito fraco.
A sequência correta é
(__) O agente oxidante e o agente redutor são, respectivamente, a espécie que sofre redução e a espécie que é oxidada.
(__) O agente oxidante e o agente redutor são, respectivamente, a espécie que sofre oxidação e a espécie que é reduzida.
(__) Anodo é o eletrodo no qual ocorre a redução e catodo é o eletrodo no qual ocorre a oxidação.
(__) Anodo é o eletrodo no qual ocorre a oxidação e catodo é o eletrodo no qual ocorre a redução.
(__) A ponte salina deve conter um eletrólito forte.
(__) A ponte salina deve conter um eletrólito fraco.
A sequência correta é
Provas
Questão presente nas seguintes provas
O professor solicitou aos alunos o preparo de 200 mL de uma solução de H2SO4 0,16N. Qual é a massa necessária de H2SO4 para o preparo desta solução? E em seguida, o professor pediu para calcular o valor dessa concentração em mol por litro. Quais são os valores obtidos, respectivamente?
Dados: MM (H=1,0 g/mol; S= 32,0 g/mol e O= 16,0 g/mol).
Dados: MM (H=1,0 g/mol; S= 32,0 g/mol e O= 16,0 g/mol).
Provas
Questão presente nas seguintes provas
A palavra ácido vem do latim acidus, que significa azedo; por outro lado, as bases têm sabor amargo e a palavra base tem origem no inglês arcaico debase. Os ácidos e bases podem ser classificados de acordo com as teoriasde Arrhenius, BrΦnsted-Lowry e Lewis. Dentre as substâncias abaixo, assinale a que é um ácido de Lewis.
Provas
Questão presente nas seguintes provas
A ozonólise é um tipo de reação química empregado em alguns processos industriais. Em laboratório, ela é realizada com um alceno na presença de oxônio e zinco em meio ácido, resultando na quebra da ligação dupla e formando compostos carbonílicos. Com base nessas informações e na imagem abaixo, assinale a alternativa que apresenta os produtos formados em uma ozonólise do bisaboleno.


Provas
Questão presente nas seguintes provas
A cromatografia é um método de separação de compostos baseado na migração diferencial entre duas fases imiscíveis dos componentes de uma mistura. Atualmente existem diversos tipos e modos de cromatografia que podem ser aplicados para análises qualitativas ou quantitativas. Sobre a CCD (cromatografia em camada delgada), é correto afirmar:
Provas
Questão presente nas seguintes provas
Cadernos
Caderno Container