Foram encontradas 50 questões.
Nesta questão, as alternativas mostram curvas da corrente elétrica i em função da tensão V aplicada nos terminais de um dispositivo.
Qual delas representa o comportamento de um diodo?
Provas
Considerando-se uma espira circular de raio R, no plano desta folha, sendo percorrida por uma corrente i como está indicado, no sentido horário e considerando-se a convenção conhecida como regra da mão direita, pergunta-se:

Qual a seta que indica o vetor campo magnético \( \vec{B}, \) no centro da espira?
Provas
Uma medida feita com um paquímetro que possui resolução de 0,05 mm mostra o resultado indicado na figura a seguir.

Onde os números na parte de cima representam a escala fixa e os números em baixo são da escala móvel.
Nesse caso, a leitura corresponde ao seguinte resultado, em milímetros:
Provas

Um sinal elétrico AC está sendo medido com auxílio de um osciloscópio. A imagem vista pelo observador na tela do osciloscópio está na figura abaixo, onde, na horizontal, está o tempo (s) e, na vertical, está a intensidade do sinal (mV).
Qual é a frequência do sinal, em Hz:
Provas
O calor específico de uma substância é a quantidade de calor necessária para:
Provas
Em um calorímetro ideal (completamente adiabático) mistura-se 200 g de água (cH20 = 1 cal ⁄ Cº) a 80º com 500 g de um material (cujo calor específico é 0,4 cal ⁄ Cº) a 20º.
Nesse caso a temperatura do equilíbrio térmico será de:
Provas
Cortou-se um objeto (feito completamente de um material) na forma de um cilindro maciço e colocou-se o cilindro em um recipiente com água, em repouso. Sabendo-se que o cilindro flutua com 4/5 do seu volume submerso na água, e que a massa específica da água igual a 1g⁄cm3, podemos afirma que a massa específica (em g⁄cm3) desse material é
Provas

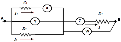
Se ligarmos, entre os pontos A e B, um gerador de força eletro motriz E = 17,5 V e resistência interna r = 5 \( \Omega \), podemos afirmar que o valor da corrente total I será, em A:
Provas

Considerando-se que: R1 = 20 \( \Omega \), R2 = 80 \( \Omega \) e R3 = 14 \( \Omega \) qual o valor da resistência equivalente (em \( \Omega \)), do circuito entre os pontos A e B?
Provas

Qual a alternativa que contém a escolha correta, para o uso dos instrumentos?
Provas
Caderno Container