Foram encontradas 50 questões.
- Transformadores e Máquinas ElétricasMáquinas EstáticasTransformadores Trifásicos e Autotransformadores
Seja um transformador monofásico de 50 kVA, 1000V:100V, conforme mostrado na Figura A. O mesmo é ligado como autotransformador, como mostra a Figura B. Supõe-se que o enrolamento de 1000V tenha isolação suficiente de modo que ele pode resistir a uma tensão de 1100V em relação à terra. Assinale a alternativa que corresponde à potência aparente nominal como autotransformador.

Provas
- Transformadores e Máquinas ElétricasMáquinas EstáticasTransformadores Trifásicos e Autotransformadores
Três transformadores monofásicos idênticos com Potência Nominal (Snom VA), tensão nominal de primário (Vpnom volts) e tensão nominal de secundário (Vsnom volts), são ligados para suprir uma carga trifásica equilibrada. Se ocorrer a danificação de um dos transformadores monofásicos, qual das alternativas é verdadeira?
Provas
Em determinada instalação elétrica hospitalar, uma carga trifásica equilibrada é alimentada por um sistema trifásico equilibrado CBA (seqüência negativa), tendo como referência a tensão VBC,conforme apresentado no circuito fasorial da figura abaixo: Qual das alternativas abaixo é a correta?

Provas
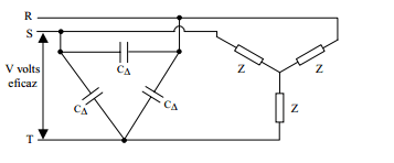
Sabe-se que em dois circuitos trifásicos equilibrados equivalentes ligados em Y e em Δ, as suas impedâncias complexas se relacionam por ZΔ = 3. ZY . Se o banco de capacitores em ligação Y (CY por fase), que fornece uma potência reativa total de Q3Φ, for substituído por um banco de capacitores ligado em delta (CΔ entre fases), que fornece a mesma potência reativa total de Q3Φ, qual a relação entre os valores das capacitâncias CΔ e CY ?

Provas
- Circuitos ElétricosCircuitos CACircuitos Trifásicos
- Instalações ElétricasCorreção do Fator de Potência
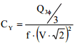
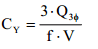
Considere que, para elevar o fator de potência de determinada instalação elétrica hospitalar, seja necessária a instalação de um banco de capacitores em ligação Y que forneça potência reativa total de Q3Φ.(var), conforme apresentado na figura abaixo. Para essa potência reativa total, qual das fórmulas abaixo fornece o valor da capacitância (CY), em farads, por fase, considerando que a tensão de linha da instalação é V (em volts − valor eficaz) e f (freqüência em hertz)?

Provas
- EletromagnetismoOndas Eletromagnéticas
- Sistemas Elétricos de PotênciaTransmissãoAntenas e Linhas de Transmissão
Quando a densidade de fluxo de linhas de campo elétrico, criado no ar, excede um certo valor, uma descarga de luz violeta pálida surge no intervalo entre conutores energizado.Essa descarga, que implica a criação de uma região ar ionizada, é conhecida como:
Provas
Visando à proteção de determinada instalação elétrica hospitalar,pretende-se utilizar o varistor ou o centelhador. Considere as afirmações abaixo:
1)Quando sujeito a elevada sobretensão, o centelhador tem um tempo de atuação normalmente menor que o do varistor.
2)Quando sujeito aos níveis níveis de sobretensão,o tempo de vida útil do centelhador é normalmente maior que o tempo de vida útil do varistor.
3)O princípio de funcionamento do centelhador é o mesmo do varistor diferenciando-se do material empregado para a fabricação.
Está(ão) correta(s):
Provas
- Transformadores e Máquinas ElétricasPrincípios BásicosControle Eletrônico de Máquinas Elétricas
- Transformadores e Máquinas ElétricasMáquinas AssíncronasPartida e Controle de velocidade
A respeito do emprego da chave eletrônica de partida (softstarter) para motores de indução, assinale a alternativa correta.
Provas
- Transformadores e Máquinas ElétricasPrincípios BásicosControle Eletrônico de Máquinas Elétricas
- Transformadores e Máquinas ElétricasMáquinas AssíncronasPartida e Controle de velocidade
Em uma instalação elétrica hospitalar, é utilizada a chave estrela-triângulo. A respeito do emprego dessa chave na partida de motores de indução, assinale a alternativa correta.
Provas
- Conceitos BásicosMateriais Elétricos
- Proteção de Sistemas ElétricosSPDA: Sistema de Proteção contra Descargas Elétricas
Quais dos seguintes materiais citados abaixo são normalmente utilizados como resistores não-lineares na construção de pára-raios?
Provas
Caderno Container