Magna Concursos

Foram encontradas 40 questões.

Instrução: A questão refere-se ao texto abaixo.
“Duas Vidas”, novela de Janete Clair.
Em 1976, estreava “Duas Vidas”, drama televisivo exibido pela Rede Globo no horário das vinte horas. A autora, Janete Clair, já era uma grande dama da teledramaturgia brasileira.
O enredo mostrava uma rua do bairro do Catete, no Rio de Janeiro, sendo desapropriada para a construção de uma linha do metrô. A partir daí, a novela acompanhava a história dos moradores, o recomeço de suas vidas alteradas pelo progresso da cidade, suas relações familiares e amorosas. A heroína da história, Leda Maria, era a mãe de um menino de uns oito anos que havia sido abandonada por um marido inescrupuloso. Ao reconstruir sua vida, a heroína envolve-se, simultaneamente, com o médico que atendia moradores da rua e com um jovem aspirante a cantor, paixão de adolescência de Leda.
Por conta desse enredo e de seus desdobramentos, Janete Clair travou uma dura luta com a Censura. Chegou a escrever uma carta para a Divisão de Censura e Diversões Públicas do Departamento de Polícia Federal:
“Quem escreve é uma escritora perplexa e desorientada em face dos cortes que vêm sendo feitos pela Censura Federal nos últimos capítulos da novela “Duas Vidas”. Perplexa e desorientada não apenas pela drástica mutilação da obra que venho realizando, como também diante do incompreensível critério que orienta a ação dos censores. De fato, não posso entender que conceitos morais ou de qualquer natureza possam determinar a proibição de um romance de amor entre um jovem e uma mulher madura, ambos solteiros. Não posso entender, igualmente, o porquê da proibição de outra cena em que o dono de uma casa de móveis reclama contra a poeira produzida pelas obras do metrô, que lhe emporcalha os móveis e afugenta a freguesia, quando todos nós sabemos dos transtornos ocasionados por essa obra pública.”
O esforço da autora, no entanto, não surtiu efeito. Afinal, criticar instituições governamentais e enaltecer relações amorosas de uma mãe de família separada destoavam dos padrões da Ditadura Militar vigente à época. Ainda assim, mesmo com os cortes feitos à história, a autora encontrou meios de continuar.
Como se não bastasse, Janete também padeceu com a crítica televisiva, que foi impiedosa. Apesar de tudo, a novela conseguiu alcançar sucesso de público e registrou enorme índice de audiência em seu último capítulo. A autora creditou o êxito final à fidelidade do público feminino a suas histórias.
Adaptado de: Nostalgia: momentos inesquecíveis da história
da TV. Por Paulo Senna em 18/10/2010. Disponível em:
http://oglobo.globo.com/cultura/kogut/nostalgia/
Assinale a alternativa em que a palavra destacada NÃO desempenha a função de núcleo do sujeito da oração em que se encontra no texto.
 

Provas

Questão presente nas seguintes provas
Considere as afirmações abaixo sobre o regime disciplinar do servidor público, à luz da Lei 8.112/1990.
I - Será cassada a aposentadoria ou a disponibilidade do inativo que houver praticado, na atividade, falta punível com a demissão.
II - Configura abandono de cargo a ausência intencional do servidor ao serviço por mais de 30 (trinta) dias consecutivos.
III - A ação disciplinar é imprescritível e pode ser intentada a qualquer momento, até a aposentadoria.
Quais estão corretas?
 

Provas

Questão presente nas seguintes provas
Instrução: A questão refere-se ao texto abaixo.
“Duas Vidas”, novela de Janete Clair.
Em 1976, estreava “Duas Vidas”, drama televisivo exibido pela Rede Globo no horário das vinte horas. A autora, Janete Clair, já era uma grande dama da teledramaturgia brasileira.
O enredo mostrava uma rua do bairro do Catete, no Rio de Janeiro, sendo desapropriada para a construção de uma linha do metrô. A partir daí, a novela acompanhava a história dos moradores, o recomeço de suas vidas alteradas pelo progresso da cidade, suas relações familiares e amorosas. A heroína da história, Leda Maria, era a mãe de um menino de uns oito anos que havia sido abandonada por um marido inescrupuloso. Ao reconstruir sua vida, a heroína envolve-se, simultaneamente, com o médico que atendia moradores da rua e com um jovem aspirante a cantor, paixão de adolescência de Leda.
Por conta desse enredo e de seus desdobramentos, Janete Clair travou uma dura luta com a Censura. Chegou a escrever uma carta para a Divisão de Censura e Diversões Públicas do Departamento de Polícia Federal:
“Quem escreve é uma escritora perplexa e desorientada em face dos cortes que vêm sendo feitos pela Censura Federal nos últimos capítulos da novela “Duas Vidas”. Perplexa e desorientada não apenas pela drástica mutilação da obra que venho realizando, como também diante do incompreensível critério que orienta a ação dos censores. De fato, não posso entender que conceitos morais ou de qualquer natureza possam determinar a proibição de um romance de amor entre um jovem e uma mulher madura, ambos solteiros. Não posso entender, igualmente, o porquê da proibição de outra cena em que o dono de uma casa de móveis reclama contra a poeira produzida pelas obras do metrô, que lhe emporcalha os móveis e afugenta a freguesia, quando todos nós sabemos dos transtornos ocasionados por essa obra pública.”
O esforço da autora, no entanto, não surtiu efeito. Afinal, criticar instituições governamentais e enaltecer relações amorosas de uma mãe de família separada destoavam dos padrões da Ditadura Militar vigente à época. Ainda assim, mesmo com os cortes feitos à história, a autora encontrou meios de continuar.
Como se não bastasse, Janete também padeceu com a crítica televisiva, que foi impiedosa. Apesar de tudo, a novela conseguiu alcançar sucesso de público e registrou enorme índice de audiência em seu último capítulo. A autora creditou o êxito final à fidelidade do público feminino a suas histórias.
Adaptado de: Nostalgia: momentos inesquecíveis da história
da TV. Por Paulo Senna em 18/10/2010. Disponível em:
http://oglobo.globo.com/cultura/kogut/nostalgia/
No trecho a poeira produzida pelas obras do metrô, que lhe emporcalha os móveis e afugenta a freguesia, as palavras que e lhe são, respectivamente,
 

Provas

Questão presente nas seguintes provas
Considere as situações abaixo.
I - Aposentadoria
II - Transferência
III - Demissão
Quais constituem razões para a vacância de cargo público, à luz da Lei 8.112/1990?
 

Provas

Questão presente nas seguintes provas
1409900 Ano: 2010
Disciplina: Engenharia Elétrica
Banca: UFRGS
Orgão: UFRGS
Provas:
Dois indutores, L1 e L2, de indutâncias próprias de 6 H e 4 H, respectivamente, apresentam indutância mútua M de 4 H. Se esses indutores forem ligados em série, a máxima e a mínima indutâncias equivalentes serão, respectivamente,
 

Provas

Questão presente nas seguintes provas
Instrução: A questão refere-se ao texto abaixo.
“Duas Vidas”, novela de Janete Clair.
Em 1976, estreava “Duas Vidas”, drama televisivo exibido pela Rede Globo no horário das vinte horas. A autora, Janete Clair, já era uma grande dama da teledramaturgia brasileira.
O enredo mostrava uma rua do bairro do Catete, no Rio de Janeiro, sendo desapropriada para a construção de uma linha do metrô. A partir daí, a novela acompanhava a história dos moradores, o recomeço de suas vidas alteradas pelo progresso da cidade, suas relações familiares e amorosas. A heroína da história, Leda Maria, era a mãe de um menino de uns oito anos que havia sido abandonada por um marido inescrupuloso. Ao reconstruir sua vida, a heroína envolve-se, simultaneamente, com o médico que atendia moradores da rua e com um jovem aspirante a cantor, paixão de adolescência de Leda.
Por conta desse enredo e de seus desdobramentos, Janete Clair travou uma dura luta com a Censura. Chegou a escrever uma carta para a Divisão de Censura e Diversões Públicas do Departamento de Polícia Federal:
“Quem escreve é uma escritora perplexa e desorientada em face dos cortes que vêm sendo feitos pela Censura Federal nos últimos capítulos da novela “Duas Vidas”. Perplexa e desorientada não apenas pela drástica mutilação da obra que venho realizando, como também diante do incompreensível critério que orienta a ação dos censores. De fato, não posso entender que conceitos morais ou de qualquer natureza possam determinar a proibição de um romance de amor entre um jovem e uma mulher madura, ambos solteiros. Não posso entender, igualmente, o porquê da proibição de outra cena em que o dono de uma casa de móveis reclama contra a poeira produzida pelas obras do metrô, que lhe emporcalha os móveis e afugenta a freguesia, quando todos nós sabemos dos transtornos ocasionados por essa obra pública.”
O esforço da autora, no entanto, não surtiu efeito. Afinal, criticar instituições governamentais e enaltecer relações amorosas de uma mãe de família separada destoavam dos padrões da Ditadura Militar vigente à época. Ainda assim, mesmo com os cortes feitos à história, a autora encontrou meios de continuar.
Como se não bastasse, Janete também padeceu com a crítica televisiva, que foi impiedosa. Apesar de tudo, a novela conseguiu alcançar sucesso de público e registrou enorme índice de audiência em seu último capítulo. A autora creditou o êxito final à fidelidade do público feminino a suas histórias.
Adaptado de: Nostalgia: momentos inesquecíveis da história
da TV. Por Paulo Senna em 18/10/2010. Disponível em:
http://oglobo.globo.com/cultura/kogut/nostalgia/
No trecho De fato, não posso entender que conceitos morais ou de qualquer natureza possam determinar a proibição de um romance de amor entre um jovem e uma mulher madura, ambos solteiros, a expressão de fato pode ser substituída, sem prejuízo do sentido do texto, por
 

Provas

Questão presente nas seguintes provas
1408568 Ano: 2010
Disciplina: Engenharia Eletrônica
Banca: UFRGS
Orgão: UFRGS
Provas:
INSTRUÇÃO: O enunciado a seguir refere-se à questão.
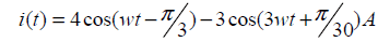
Uma carga apresenta uma corrente elétrica na forma Enunciado 1408568-1 quando submetida a uma tensão v(t) = 20cos(wt)V .
Um voltímetro indicador de valor eficaz verdadeiro da grandeza indica, aproximadamente, _________ Vrms para a tensão aplicada à carga.
Assinale a alternativa que completa corretamente a lacuna do trecho acima.
 

Provas

Questão presente nas seguintes provas
1407944 Ano: 2010
Disciplina: Engenharia Eletrônica
Banca: UFRGS
Orgão: UFRGS
Provas:
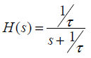
A Função de Transferência Enunciado 1407944-1 corresponde a um sistema de _____________ ordem, estável no caso em que ___________.
Assinale a alternativa que completa correta e respectivamente, as lacunas do trecho acima.
 

Provas

Questão presente nas seguintes provas
1407793 Ano: 2010
Disciplina: Engenharia Elétrica
Banca: UFRGS
Orgão: UFRGS
Provas:
Considere os tipos de condutores abaixo.
I - condutores de alumínio
II - condutores de aço
III - condutores de cobre
De acordo com a Norma ABNT NBR 5410 (Instalações Elétricas de Baixa Tensão), quais podem ser utilizados como eletrodos de aterramento?
 

Provas

Questão presente nas seguintes provas
1406549 Ano: 2010
Disciplina: Engenharia Eletrônica
Banca: UFRGS
Orgão: UFRGS
Provas:
Considere as afirmações referentes ao CLP (Controlador Lógico Programável).
I - A memória do programa monitor (firmware) é responsável pelo gerenciamento de todas as atividades do CLP e não pode ser alterada pelo usuário.
II - A fonte do CLP é programada, de forma a suportar as perdas rápidas de alimentação externa, sem afetar a operação do sistema.
III - Flash EEPROM é uma memória do tipo EEPROM que permite que múltiplos endereços sejam apagados ou escritos numa só operação.
Quais estão corretas?
 

Provas

Questão presente nas seguintes provas