Magna Concursos

Foram encontradas 64 questões.

Instrução: A questão refere-se ao texto abaixo.
A preocupação com o tratamento dado aos animais que nos servem de alimento tem origem em um questionamento ainda maior, ao qual a ciência tenta dar uma resposta: seriam os bichos capazes de desenvolver algum tipo de sentimento ou inteligência? Estudos recentes revelam que o cérebro de alguns animais processa tarefas antes atribuídas apenas a seres humanos. Já se sabe que os elefantes adotam um comportamento semelhante ao luto quando um integrante da manada morre. Pássaros como o corvo sabem confeccionar e usar ferramentas para construir seus ninhos. Ratos tendem a imitar os movimentos de outros membros da espécie ao vê-los se contorcer de dor. O exemplo mais notável de animal que apresenta um tipo de inteligência evoluída é o bonobo, um membro da família dos chimpanzés. Cientistas americanos conseguiram que um exemplar desses primatas desenvolvesse um sistema complexo de comunicação. Ele compreende cerca de 380 palavras e, por meio de um tabuleiro com cartões coloridos, as ordena de modo a compor frases. O bonobo também consegue expressar noções de tempo e grandeza.
Com isso, os defensores dos animais ganharam mais argumentos para tentar mudar as leis a favor de seus protegidos. Há dois anos, o Parlamento espanhol estendeu alguns direitos humanos a chimpanzés, gorilas, orangotangos e, claro, bonobos. O país das touradas decidiu que os primatas não podem ser torturados nem mortos (salvo em casos de defesa contra ataque). “Quando o homem começa a perceber que os animais têm algumas características semelhantes às suas, fica menos suscetível a submetê-los a tratamentos que resultem em dor ou sofrimento”, disse a VEJA a advogada americana Pamela Frasch, especialista em legislação dos direitos dos animais."
Adaptado de: Sinais de Inteligência. Revista Veja,
8/10/2010, edição 2181, p. 129 Disponível em
http://veja.abril.com.br/acervodigital/home.aspx. Acessado
em 16/1/2013.
Se substituirmos a palavra Cientistas pela expressão no singular Um cientista, quantas outras palavras do período deverão sofrer ajuste de flexão?
 

Provas

Questão presente nas seguintes provas
1376803 Ano: 2013
Disciplina: Engenharia Mecânica
Banca: UFRGS
Orgão: UFRGS
Provas:
Há diversas técnicas usuais para se observar a estrutura dos aços e ferros fundidos em escala microscópica. Nesse contexto, assinale as afirmações abaixo com V (verdadeiro) ou F (falso).
( ) Quando se deseja observar a estrutura de uma peça sem a remoção de amostra, a técnica de replicar a superfície é extremamente útil.
( ) Algumas técnicas, como a microscopia eletrônica de varredura (MEV), permitem também a observação de superfícies praticamente sem preparação, o que é extremamente útil na análise de falhas.
( ) Técnicas como a microscopia eletrônica de transmissão (MET) exigem o preparo de amostra específica, bastante diferente das demais técnicas, por se utilizar da análise do feixe de elétrons que atravessa a amostra.
A sequência correta de preenchimento dos parênteses, de cima para baixo, é
 

Provas

Questão presente nas seguintes provas
1375144 Ano: 2013
Disciplina: Engenharia Mecânica
Banca: UFRGS
Orgão: UFRGS
Provas:
A capacidade de um material de absorver energia por unidade de volume sem deformação permanente, que é igual à área sob o diagrama tensão-deformação até o limite elástico, é chamada de
 

Provas

Questão presente nas seguintes provas
Instrução: A questão refere-se ao texto abaixo.
A preocupação com o tratamento dado aos animais que nos servem de alimento tem origem em um questionamento ainda maior, ao qual a ciência tenta dar uma resposta: seriam os bichos capazes de desenvolver algum tipo de sentimento ou inteligência? Estudos recentes revelam que o cérebro de alguns animais processa tarefas antes atribuídas apenas a seres humanos. Já se sabe que os elefantes adotam um comportamento semelhante ao luto quando um integrante da manada morre. Pássaros como o corvo sabem confeccionar e usar ferramentas para construir seus ninhos. Ratos tendem a imitar os movimentos de outros membros da espécie ao vê-los se contorcer de dor. O exemplo mais notável de animal que apresenta um tipo de inteligência evoluída é o bonobo, um membro da família dos chimpanzés. Cientistas americanos conseguiram que um exemplar desses primatas desenvolvesse um sistema complexo de comunicação. Ele compreende cerca de 380 palavras e, por meio de um tabuleiro com cartões coloridos, as ordena de modo a compor frases. O bonobo também consegue expressar noções de tempo e grandeza.
Com isso, os defensores dos animais ganharam mais argumentos para tentar mudar as leis a favor de seus protegidos. Há dois anos, o Parlamento espanhol estendeu alguns direitos humanos a chimpanzés, gorilas, orangotangos e, claro, bonobos. O país das touradas decidiu que os primatas não podem ser torturados nem mortos (salvo em casos de defesa contra ataque). “Quando o homem começa a perceber que os animais têm algumas características semelhantes às suas, fica menos suscetível a submetê-los a tratamentos que resultem em dor ou sofrimento”, disse a VEJA a advogada americana Pamela Frasch, especialista em legislação dos direitos dos animais."
Adaptado de: Sinais de Inteligência. Revista Veja,
8/10/2010, edição 2181, p. 129 Disponível em
http://veja.abril.com.br/acervodigital/home.aspx. Acessado
em 16/1/2013.
Considere as seguintes propostas de reescrita do trecho
Com isso, os defensores dos animais ganharam mais argumentos para tentar mudar as leis a favor de seus protegidos.
I - Os defensores dos animais ganharam, com isso, mais argumentos no sentido de tentar mudar as leis em favor dos que protegem.
II - Não obstante, os defensores dos animais ganharam argumentos adicionais, no intento de mudar as leis a favor de seus protegidos.
III - Os defensores dos animais, diante disso, somaram argumentos, a fim de tentar ratificar a legislação em favor de seus protegidos.
Quais estão corretas do ponto de vista da norma gramatical e conservam o sentido original do texto?
 

Provas

Questão presente nas seguintes provas
1374436 Ano: 2013
Disciplina: Engenharia Mecânica
Banca: UFRGS
Orgão: UFRGS
Provas:
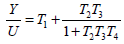
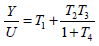
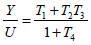
Considere o diagrama de blocos a seguir:
Enunciado 1374436-1
Qual das alternativas abaixo apresenta a função de transferência equivalente ao diagrama dado?
 

Provas

Questão presente nas seguintes provas

Conforme a Constituição Federal, considere as seguintes assertivas:

I - são incondicionalmente estáveis após três anos de efetivo exercício os servidores nomeados para cargo de provimento efetivo em virtude de concurso público.

II - o servidor regularmente investido em cargo público e detentor de estabilidade não poderá perder o cargo em qualquer hipótese.

III - é condição obrigatória para a aquisição da estabilidade a avaliação especial de desempenho por comissão instituída para essa finalidade.

Quais estão corretas?

 

Provas

Questão presente nas seguintes provas
Conforme a Lei n.º 8.112/1990, um servidor que venha a ser investido em cargo de atribuições e responsabilidades compatíveis com a limitação que tenha sofrido em sua capacidade física ou mental, verificada em inspeção médica, estará
 

Provas

Questão presente nas seguintes provas
1373111 Ano: 2013
Disciplina: Engenharia Mecânica
Banca: UFRGS
Orgão: UFRGS
Provas:
Em relação a mancais de rolamento e lubrificação, considere as afirmações abaixo.
I - O estado de lubrificação em mancais de rolamento pode ser elasto-hidrodinâmico (EHD) de contorno ou uma combinação dos dois, referido como uma lubrificação parcial EHD.
II - Existem mancais de rolamento que podem acomodar cargas radiais, cargas axiais ou uma combinação de ambas.
III - Mancais de rolamento não podem vir a falhar por fadiga.
IV - Os mancais de rolamento são feitos com tolerâncias exageradas nos diâmetros interno e externo para permitir o encaixamento sem pressão no eixo ou no encaixe.
V - Os fabricantes de mancais de rolamento definem os parâmetros de carga e vida com base na carga para a qual se espera que 99% de uma amostra aleatória de um lote de mancais sobrevivam a 1 bilhão de revoluções da pista interna. Esses dados são usados para calcular a vida esperada de um mancal sob a carga dada e as condições de velocidade da aplicação.
Quais estão INCORRETAS?
 

Provas

Questão presente nas seguintes provas

Assinale a alternativa que, conforme a Constituição Federal, contém os entes que devem obedecer aos princípios da legalidade, impessoalidade, moralidade, publicidade e eficiência:

 

Provas

Questão presente nas seguintes provas
1372004 Ano: 2013
Disciplina: Engenharia Mecânica
Banca: UFRGS
Orgão: UFRGS
Provas:
Muitas vezes, os materiais são submetidos a operações por longos períodos sob condições de elevada temperatura e tensão mecânica estática, o que gera mudanças em seu comportamento em função do processo de difusão dos átomos, movimento de discordâncias, escorregamento de contornos de grão e da recristalização. Para avaliar esse comportamento, utiliza-se um ensaio, que consiste na aplicação de uma carga inicial e constante durante um período de tempo sob temperaturas elevadas, cujo objetivo é determinar a vida útil do material nessas condições. Qual é o nome desse ensaio?
 

Provas

Questão presente nas seguintes provas