Foram encontradas 50 questões.
Um aspecto importante na qualidade e segurança de medicamentos é a homogeneidade de dose entre as unidades farmacotécnicas. Segundo a Farmacopeia Brasileira, quando o medicamento contiver fármaco com valores menores que 50 mg e o ativo representar menos que 50% do peso total da unidade de dosagem é preconizada a realização do ensaio de uniformidade de dose por:
Provas
No controle de qualidade de medicamentos, segundo a Farmacopéia Brasileira, o ensaio no qual o critério de aceitação é estabelecido pelo valor mínimo aceitável sem estipulação do valor máximo é:
Provas
Um dos procedimentos técnicos aplicados a medicamentos é a determinação de peso em formas farmacêuticas semissólidas, incluindo cremes com apresentação em forma de dose múltipla.
A determinação do peso-médio deve atender o seguinte procedimento:
Provas
A medida da falta de resistência dos comprimidos à abrasão, quando submetidos à ação mecânica, é denominada:
Provas
A extração em fase sólida é um dos possíveis procedimentos analíticos utilizados no preparo de amostras para análise seletiva de fármacos.
Pode-se apontar como característica desta técnica:
Provas
A eficiência de uma coluna de cromatografia líquida de alta eficiência é aumentada pelo seguinte parâmetro:
Provas
Na escolha do detector adequado na análise por cromatografia líquida de alta eficiência (CLAE) alguns parâmetros são importantes e devem ser levados em consideração.
A detecção por índice de refração tem como característica:
Provas
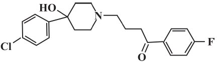
Numa análise de teor foram adicionados 15 mL de HCl 1 M ao macerado de um comprimido de haloperidol. Essa solução foi extraída três vezes com éter lavando-se os extratos com 10 mL de água. As fases aquosas foram combinadas e diluídas a 100 mL.
Dessa solução 10 mL foram diluídos em 100 mL. Na análise desta solução por espectrofotometria de absorção na região do UV, utilizando o comprimento de onda de 274 nm, obteve-se a leitura de 0,174. Considerando A% 1 cm a 274 nm sendo 346.

O teor de haloperidol neste comprimido é, em mg, de:
Provas
A medida da absorção da luz na região do ultravioleta/visível por uma solução contendo moléculas é governada pela lei de Lambert-Beer.
Segundo esta lei a absorção da energia luminosa é correlacionada com:
Provas
Na análise de fármacos por espectrofotometria no infravermelho uma técnica utilizada no preparo de amostra é o disco prensado. Nesta técnica um disco transparente é preparado utilizando-se uma mistura homogênea do fármaco e um sal.
O sal normalmente utilizado para esta finalidade é o:
Provas
Caderno Container