Foram encontradas 64 questões.
Qual o valor da resistência equivalente de Thevenin, vista a partir dos terminais da carga !$ R_L !$ do circuito?
Provas
Questão presente nas seguintes provas
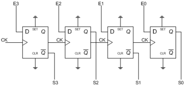
Para o circuito mostrado abaixo, considere uma sequência de entrada E3 E2 E1 E0 = 1 0 1 0
Qual o valor da saída S3 S2 S1 S0, após o pulso de relógio (clock)?

Provas
Questão presente nas seguintes provas
Considere a tabela verdade de um flip-flop, cujas entradas são X e Y, como mostrada abaixo.
| Entradas Atuais | Saídas Atuais | Saídas Futuras | |||
| X (t) | Y (t) | Z (t) | !$ \overline {Z (t)} !$ | Z (t + 1) | !$ \overline {Z (t + 1)} !$ |
| 0 | 0 | 0 | 1 | 0 | 1 |
| 0 | 0 | 1 | 0 | 1 | 0 |
| 0 | 1 | 0 | 1 | 1 | 0 |
| 0 | 1 | 1 | 0 | 1 | 0 |
| 1 | 0 | 0 | 1 | 0 | 1 |
| 1 | 0 | 1 | 0 | 0 | 1 |
| 1 | 1 | 0 | 1 | X | X |
| 1 | 1 | 1 | 0 | X | X |
O flip-flop correspondente a essa tabela verdade é:
Provas
Questão presente nas seguintes provas
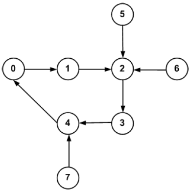
Para o diagrama de estados mostrado na figura abaixo, assinale a alternativa correta.

Provas
Questão presente nas seguintes provas
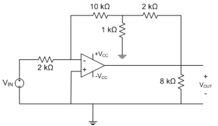
Considere o circuito amplificador da figura abaixo.

Qual é o ganho !$ V_{OUT}/V_{IN} !$?
Provas
Questão presente nas seguintes provas
Quanto aos fundamentos básicos de eletricidade, assinale a alternativa incorreta.
Provas
Questão presente nas seguintes provas
Considere o sinal de entrada num circuito, fornecido por uma fonte na forma:
!$ v (t) = V_mSen (ω t) !$
Assinale a alternativa incorreta.
Provas
Questão presente nas seguintes provas
Numa indústria de fabricação de peças, após fabricadas, as peças são submetidas a uma inspeção automática de qualidade, que verifica se a sua altura encontra-se dentro de um intervalo de tolerância. Caso as peças possuam altura inferior ou superior a determinados valores, elas serão rejeitadas. O sistema de aferição funciona com as peças passando por uma esteira que atravessa dois sensores ópticos (S1 e S2) posicionados em alturas diferentes, conforme mostrado na figura abaixo. Os sensores funcionam como feixes ópticos que atravessam a esteira e, quando a peça passa pela posição dos sensores, interrompe ou não o feixe, a depender da sua altura, sendo a interrupção no feixe medida pelo sensor como !$ S_x=0 !$ (x=1 ou x=2). O circuito avalia a regra de aprovação e, caso a peça seja rejeitada, sua saída é R=1. Assinale a alternativa que representa a função mínima para R.

Provas
Questão presente nas seguintes provas
Em uma máquina copiadora, um sinal (S=1) é utilizado para interromper a operação da máquina, gerando um sinal de alarme, quando a bandeja alimentadora de papel está vazia (P=0) ou quando os dois sensores de atolamento de papel (A1=1 e A2=1) sinalizam simultaneamente problema que pode danificar o equipamento. O circuito é implementado apenas com portas do tipo NAND. Assinale a alternativa que representa a função lógica mínima da máquina copiadora, implementada com portas do tipo NAND.
Provas
Questão presente nas seguintes provas
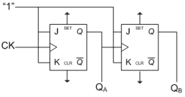
Observe o circuito abaixo e assinale a alternativa que representa sua aplicação.

Provas
Questão presente nas seguintes provas
Cadernos
Caderno Container