Foram encontradas 64 questões.
O ácido clorídrico com a denominação PA (Padrão Analítico) é comercializado em solução a 37%. Por ser um ácido forte, que origina soluções diluídas estáveis, é frequentemente empregado em análises titrimétricas. Para conhecer a real concentração do HCl nas soluções empregadas, torna-se necessário o procedimento de padronização das mesmas. Assinale a alternativa que apresenta uma substância que pode ser empregada como padrão primário para a padronização do HCl, e a justificativa para sua escolha.
Provas
Questão presente nas seguintes provas
A solução fisiológica constitui-se de 9,0 gramas de cloreto de sódio (NaCl) em um litro de água. Assinale a alternativa que apresenta a massa de NaCl em uma embalagem de 100 mL de soro fisiológico, expressa em percentagem.
Provas
Questão presente nas seguintes provas
As análises gravimétricas podem ser consideradas métodos analíticos quantitativos clássicos, mas ainda na atualidade são empregadas para diversas finalidades. Nesse contexto, assinale a alternativa correta.
Provas
Questão presente nas seguintes provas
A extração líquido-líquido baseia-se na diferença de solubilidade de um soluto em dois líquidos imiscíveis. Portanto, a quantidade do soluto que é extraída depende do seu coeficiente de partição ou coeficiente de distribuição (K) entre as duas fases líquidas. Qual a porcentagem aproximada de um soluto extraído para 100 mL de éter de petróleo, supondo que foram usados 100 mL de fase aquosa contendo 5 g do soluto, após agitação em funil de separação?
| Considere K!$ ([soluto]_{éter de petróleo}/[soluto]_{água}) = 10 !$; e concentração em !$ g.L^{-1} !$. |
Provas
Questão presente nas seguintes provas
O desperdício nosso de cada dia
Em recente pesquisa feita pelo Instituto Akatu, foi constatado que uma família brasileira joga fora, em média, R$ 180 por mês em alimentos. Isso equivale a dizer que para cada R$ 100 em compras, quase R$ 30 são jogados fora. No Brasil, onde mais de 7 milhões de pessoas passam fome, cheguei a sentir um embrulho no estômago com tamanho desperdício. Para se ter uma ideia, se esse valor perdido fosse colocado em um investimento tradicional todo mês, ao final de 30 anos, se teria próximo de R$ 120 mil, já descontada a inflação.
A compra sem planejamento, de alimentos e de outros produtos, como remédios, por exemplo, evidencia a nossa quase sempre falta de controle. Recentemente, fui à farmácia comprar um xarope e a balconista me apresentou a versão de 100ml do produto. Pergunto sempre se é o menor volume comercializado. Ela me disse que não, que existia o mesmo xarope no volume de 60ml (mas ora, por que não me disse antes?). Minha pergunta me fez trocar o xarope de 100ml de R$ 50 pelo de 60ml, que me custou R$ 30 (tive uma economia de 40%). E, antes que me perguntem, o xarope de 60ml tem volume suficiente para curar duas gripes iguais à que eu enfrentava naquele momento. Provoco o leitor a visitar a farmacinha que tem em casa e a refletir sobre quais medicamentos são desperdiçados por falta de uso. E, se seguiu meu conselho, estimulo-o também a olhar suas roupas e a confirmar que, algumas delas, foram adquiridas por impulso e apenas enfeitam o seu guarda-roupa.
O desperdício vai além... Se, por exemplo, alguém tem uma casa de quatro quartos e mora somente com seu companheiro(a), estes podem estar desperdiçando espaço e dinheiro. Se gasta em média 5Gb de internet no celular e paga um plano de 20Gb, também desperdiça. E a pessoa continua desperdiçando dinheiro quando:
- paga juros altos em financiamentos, por falta de um planejamento financeiro; paga tarifas bancárias, quando existe um pacote gratuito de tarifas exigido pelo Banco Central, que os bancos não divulgam; não inclui o CPF nas notas fiscais de serviços, para ter desconto no IPTU; não aproveita o desconto da taxa de condomínio ao pagá-la até o vencimento (a maioria oferece esse benefício); não utiliza o regime de coparticipação dos planos de saúde, que reduz a mensalidade em troca de pagamento percentual a mais apenas quando usá-lo; não pergunta se o pagamento à vista oferece algum desconto na compra; e também quando não divide o pagamento sem juros, caso não tenha tal desconto (lembrei que certa vez comprei uma vela de aniversário para meu irmão, de R$ 3, em 10 vezes).
Enfim, são inúmeras oportunidades de usar seus recursos com mais inteligência e sem desperdícios. Pequenos exemplos como esses farão enorme diferença no futuro. O orçamento é um acordo que você faz com seu dinheiro, definindo previamente para onde ele vai no decorrer do mês. Sugiro que liste todas as suas despesas e busque identificar oportunidades de otimizá-las, evitando assim o desperdício nosso de cada dia.
Benjamin Rodrigues da Costa Miranda. Disponível em: http://www.diariodepernambuco.com.br/app/noticia/opiniao/46,97,43,74/2018/04/11/interna_opiniao,185999/o-desperdicio-nosso-de-cada-dia.shtml. Acesso em 15/04/2018. Adaptado.
Assinale a alternativa que apresenta um enunciado no qual a concordância está de acordo com a norma culta da língua.
Provas
Questão presente nas seguintes provas
O gás dióxido de enxofre (!$ SO_2 !$) é um dos principais e mais perigosos poluentes ambientais. No Brasil, é usado pelo Conselho Nacional de Meio Ambiente (Conama) como um importante indicador do padrão nacional de qualidade do ar (Resolução CONAMA nº 03, de 28/06/90). Para a adequada interpretação dos dados analíticos na determinação das concentrações de !$ SO_2 !$ no ar atmosférico, frequentemente é necessária a conversão de quantidade de matéria presente no ar atmosférico em quantidade de mols. Assim, assinale a alternativa que indica, para uma amostra de ar atmosférico contendo 8g de !$ SO_2 !$, aproximadamente, a quantidade de moléculas de !$ SO_2 !$ presentes, assim como o número de mols de !$ SO_2 !$, respectivamente.
(Dados: número de Avogadro=!$ 6,02x10^{23} !$; massa atômica O=16, S=32)
Provas
Questão presente nas seguintes provas

Com o Texto, seu autor pretendeu convencer o leitor de que:
Provas
Questão presente nas seguintes provas
O desperdício nosso de cada dia
Em recente pesquisa feita pelo Instituto Akatu, foi constatado que uma família brasileira joga fora, em média, R$ 180 por mês em alimentos. Isso equivale a dizer que para cada R$ 100 em compras, quase R$ 30 são jogados fora. No Brasil, onde mais de 7 milhões de pessoas passam fome, cheguei a sentir um embrulho no estômago com tamanho desperdício. Para se ter uma ideia, se esse valor perdido fosse colocado em um investimento tradicional todo mês, ao final de 30 anos, se teria próximo de R$ 120 mil, já descontada a inflação.
A compra sem planejamento, de alimentos e de outros produtos, como remédios, por exemplo, evidencia a nossa quase sempre falta de controle. Recentemente, fui à farmácia comprar um xarope e a balconista me apresentou a versão de 100ml do produto. Pergunto sempre se é o menor volume comercializado. Ela me disse que não, que existia o mesmo xarope no volume de 60ml (mas ora, por que não me disse antes?). Minha pergunta me fez trocar o xarope de 100ml de R$ 50 pelo de 60ml, que me custou R$ 30 (tive uma economia de 40%). E, antes que me perguntem, o xarope de 60ml tem volume suficiente para curar duas gripes iguais à que eu enfrentava naquele momento. Provoco o leitor a visitar a farmacinha que tem em casa e a refletir sobre quais medicamentos são desperdiçados por falta de uso. E, se seguiu meu conselho, estimulo-o também a olhar suas roupas e a confirmar que, algumas delas, foram adquiridas por impulso e apenas enfeitam o seu guarda-roupa.
O desperdício vai além... Se, por exemplo, alguém tem uma casa de quatro quartos e mora somente com seu companheiro(a), estes podem estar desperdiçando espaço e dinheiro. Se gasta em média 5Gb de internet no celular e paga um plano de 20Gb, também desperdiça. E a pessoa continua desperdiçando dinheiro quando:
- paga juros altos em financiamentos, por falta de um planejamento financeiro; paga tarifas bancárias, quando existe um pacote gratuito de tarifas exigido pelo Banco Central, que os bancos não divulgam; não inclui o CPF nas notas fiscais de serviços, para ter desconto no IPTU; não aproveita o desconto da taxa de condomínio ao pagá-la até o vencimento (a maioria oferece esse benefício); não utiliza o regime de coparticipação dos planos de saúde, que reduz a mensalidade em troca de pagamento percentual a mais apenas quando usá-lo; não pergunta se o pagamento à vista oferece algum desconto na compra; e também quando não divide o pagamento sem juros, caso não tenha tal desconto (lembrei que certa vez comprei uma vela de aniversário para meu irmão, de R$ 3, em 10 vezes).
Enfim, são inúmeras oportunidades de usar seus recursos com mais inteligência e sem desperdícios. Pequenos exemplos como esses farão enorme diferença no futuro. O orçamento é um acordo que você faz com seu dinheiro, definindo previamente para onde ele vai no decorrer do mês. Sugiro que liste todas as suas despesas e busque identificar oportunidades de otimizá-las, evitando assim o desperdício nosso de cada dia.
Benjamin Rodrigues da Costa Miranda. Disponível em: http://www.diariodepernambuco.com.br/app/noticia/opiniao/46,97,43,74/2018/04/11/interna_opiniao,185999/o-desperdicio-nosso-de-cada-dia.shtml. Acesso em 15/04/2018. Adaptado.
Considerando alguns aspectos formais da língua portuguesa e as regras ortográficas vigentes, analise as proposições abaixo.
1) Estão grafadas segundo as regras vigentes de ortografia, as palavras desperdiçar e economizar.
2) Assim como em desperdício, também são acentuados os substantivos subsídio e subterfúgio.
3) No trecho: “O desperdício vai além...” (3º parágrafo), as reticências cumprem a função de sinalizar a completude do enunciado.
4) No trecho: “Recentemente, fui à farmácia comprar um xarope” (2º parágrafo), o sinal indicativo de crase é facultativo, já que a regência do verbo “ir” é flexível.
Estão corretas:
Provas
Questão presente nas seguintes provas
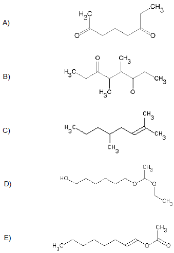
Correlacione as cadeias carbônicas apresentadas a seguir com as suas respectivas classificações.

( ) Cadeia aberta, ramificada, homogênea, saturada.
( ) Cadeia aberta, ramificada, heterogênea, saturada.
( ) Cadeia aberta, normal, homogênea, saturada.
( ) Cadeia aberta, normal, heterogênea, insaturada.
( ) Cadeia aberta, ramificada, homogênea, insaturada.
A sequência correta, de cima para baixo, é:
Provas
Questão presente nas seguintes provas
O desperdício nosso de cada dia
Em recente pesquisa feita pelo Instituto Akatu, foi constatado que uma família brasileira joga fora, em média, R$ 180 por mês em alimentos. Isso equivale a dizer que para cada R$ 100 em compras, quase R$ 30 são jogados fora. No Brasil, onde mais de 7 milhões de pessoas passam fome, cheguei a sentir um embrulho no estômago com tamanho desperdício. Para se ter uma ideia, se esse valor perdido fosse colocado em um investimento tradicional todo mês, ao final de 30 anos, se teria próximo de R$ 120 mil, já descontada a inflação.
A compra sem planejamento, de alimentos e de outros produtos, como remédios, por exemplo, evidencia a nossa quase sempre falta de controle. Recentemente, fui à farmácia comprar um xarope e a balconista me apresentou a versão de 100ml do produto. Pergunto sempre se é o menor volume comercializado. Ela me disse que não, que existia o mesmo xarope no volume de 60ml (mas ora, por que não me disse antes?). Minha pergunta me fez trocar o xarope de 100ml de R$ 50 pelo de 60ml, que me custou R$ 30 (tive uma economia de 40%). E, antes que me perguntem, o xarope de 60ml tem volume suficiente para curar duas gripes iguais à que eu enfrentava naquele momento. Provoco o leitor a visitar a farmacinha que tem em casa e a refletir sobre quais medicamentos são desperdiçados por falta de uso. E, se seguiu meu conselho, estimulo-o também a olhar suas roupas e a confirmar que, algumas delas, foram adquiridas por impulso e apenas enfeitam o seu guarda-roupa.
O desperdício vai além... Se, por exemplo, alguém tem uma casa de quatro quartos e mora somente com seu companheiro(a), estes podem estar desperdiçando espaço e dinheiro. Se gasta em média 5Gb de internet no celular e paga um plano de 20Gb, também desperdiça. E a pessoa continua desperdiçando dinheiro quando:
- paga juros altos em financiamentos, por falta de um planejamento financeiro; paga tarifas bancárias, quando existe um pacote gratuito de tarifas exigido pelo Banco Central, que os bancos não divulgam; não inclui o CPF nas notas fiscais de serviços, para ter desconto no IPTU; não aproveita o desconto da taxa de condomínio ao pagá-la até o vencimento (a maioria oferece esse benefício); não utiliza o regime de coparticipação dos planos de saúde, que reduz a mensalidade em troca de pagamento percentual a mais apenas quando usá-lo; não pergunta se o pagamento à vista oferece algum desconto na compra; e também quando não divide o pagamento sem juros, caso não tenha tal desconto (lembrei que certa vez comprei uma vela de aniversário para meu irmão, de R$ 3, em 10 vezes).
Enfim, são inúmeras oportunidades de usar seus recursos com mais inteligência e sem desperdícios. Pequenos exemplos como esses farão enorme diferença no futuro. O orçamento é um acordo que você faz com seu dinheiro, definindo previamente para onde ele vai no decorrer do mês. Sugiro que liste todas as suas despesas e busque identificar oportunidades de otimizá-las, evitando assim o desperdício nosso de cada dia.
Benjamin Rodrigues da Costa Miranda. Disponível em: http://www.diariodepernambuco.com.br/app/noticia/opiniao/46,97,43,74/2018/04/11/interna_opiniao,185999/o-desperdicio-nosso-de-cada-dia.shtml. Acesso em 15/04/2018. Adaptado.
Releia o seguinte trecho do 3º parágrafo do Texto: “Se, por exemplo, alguém tem uma casa de quatro quartos e mora somente com seu companheiro(a), estes podem estar desperdiçando espaço e dinheiro.” Com o termo destacado, o autor expressa:
Provas
Questão presente nas seguintes provas
Cadernos
Caderno Container