Foram encontradas 90 questões.
TEXTO IV
El gigante de las redes sociales, Facebook, anunció el miércoles que comprará al servicio de mensajería móvil WhatsApp por US$19.000 millones.
Según un comunicado de Facebook, la transacción se hará por US$4.000 millones en efectivo y aproximadamente US$12.000 millones en acciones de Facebook. Además se entregarán otros US$3.000 millones en acciones a los empleados y fundadores de WhatsApp, que se harán efectivos cuatro años después de la compra.
“WhatsApp está en camino de conectar a 1.000 millones de personas. Los servicios que alcanzan esa meta son todos increíblemente valiosos”, dijo el fundador y presidente de Facebook, Mark Zuckerberg.
Jan Koum, cofundador y presidente de la firma de mensajería móvil, dijo que “estamos emocionados y honrados de estar en una sociedad con Mark y Facebook mientras continuamos llevando nuestro producto a más gente en todo el mundo”.
El negocio anunciado el miércoles es la compra más grande realizada hasta ahora por Facebook.
En 2012 había comprado a Instagram por US$1.000 millones.
Perspectivas
Richard Taylor, experto en tecnología de la BBC, explicó que la compra no es tan sorpresiva como el monto que ha estado dispuesta a pagar Facebook por WhatsApp.
“Algunos están viendo los US$19.000 millones como evidencia adicional de cómo se está inflando el valor de muchas compañías, en momentos en que el sector experimenta lo que podría ser otra prueba de una nueva burbuja en el sector de las empresas punto com”.
Taylor indica que WhatsApp da a Mark Zuckerberg vías hacia los mercados internacionales y, más importante, hacia usuarios más jóvenes.
“Pero lo que es menos claro es si los ingresos aumentarán en el largo plazo”.
WhatsApp reiteró su compromiso con un servicio sin anuncios publicitarios, optando por cobrarles por el servicio apenas US$1 al año a sus usuarios.
Bajo este escenario, tendrá que continuar su trayectoria de crecimiento para asegurar cualquier retorno en las finanzas de Facebook.
En todo caso, la publicidad está mirando ahora con más atención el propio modelo de negocios de Facebook y la presión para monetizar su nueva base de usuarios en WhatsApp de la misma manera será muy tentador como para resistirse, asegura el experto en tecnología de la BBC.
Extraído de <http://www.bbc.com/mundo/ultimas_noticias/2014/02/140219_ ultnot_facebook_whatsapp_lf> acceso en 17.07.2016.
De acuerdo con el texto “El gigante de las redes sociales, Facebook, anunció el miércoles que comprará al servicio de mensajería móvil WhatsApp por US$19.000 millones” NO es CORRECTO afirmar:
Provas
TEXTO II
LA GRATUIDAD UNIVERSITARIA ENCALLA EN CHILE El Gobierno de Bachelet no podrá cumplir su anhelo de otorgar estudios superiores gratis a los estudiantes en 2020
ROCÍO MONTES
Santiago de Chile 15 JUL 2016 - 20:54 BRT
La gratuidad universal de la educación superior fue uno de los debates esenciales de la campaña presidencial de 2013 y una de las promesas del programa de Gobierno con que Michelle Bachelet llegó al Palacio de La Moneda en marzo de 2014. De acuerdo con su hoja de ruta, el 70% más vulnerable de los alumnos podría estudiar sin pagar en 2018, al finalizar su Administración, y la gratuidad universal se conseguiría en 2020. Las altas expectativas, sin embargo, chocaron con la realidad. El Ejecutivo presentó el proyecto de educación superior al Congreso y la gratuidad sigue siendo uno de los aspectos controvertidos de la propuesta, que dependerá del crecimiento económico. El propio país, en el futuro, deberá definir si contará con los recursos para financiar la propuesta, que costaría 3.500 millones de dólares (un 1,5% del PIB).
El Ministro de Hacienda, Rodrigo Valdés, explicó al iniciarse el trámite legislativo en el Congreso: “Si Chile tuviera esa plata - supongamos que tenemos la suerte de que el precio del cobre vuelve a tres dólares -, la pregunta siguiente que tendría que hacerse la sociedad, y que el proyecto de ley pone sobre la mesa, es: ‘¿Queremos usar toda esa plata en educación superior o hay otras necesidades que compiten con esta, como la salud o las pensiones?”.
Para los estudiantes, que no han dejado de movilizarse en diversas ciudades de Chile, el problema es evidente: “La gratuidad universal va a llegar cuando crezcamos como China o Japón”, ironizó uno de los portavoces de la Confederación de Estudiantes de Chile, Carlos Vergara. Para el diputado de Revolución Democrática, Giorgio Jackson, exdirigente del movimiento estudiantil de 2011, “esta norma incumple el programa de Gobierno que la Nueva Mayoría [el oficialismo] prometió”.
El proyecto del Ejecutivo chileno - que entre otros asuntos propone la creación de una subsecretaría, una superintendencia y un consejo para la calidad del sector - ha generado un debate intenso. Pretende reformar un sistema de educación superior vigente desde comienzos de los ochenta, en la dictadura de Augusto Pinochet. El régimen despojó al Estado de su responsabilidad histórica en la entrega de un derecho social como la educación, asfixió a las universidades públicas y a instituciones emblemáticas en la formación de la nación —como la Universidad de Chile—, y permitió la instalación de un sistema de enseñanza privada desregulado. Con la llegada de la democracia en 1990 y el progresivo aumento del precio de la matrícula, el mecanismo no se reformuló.
“¿Por qué no se hizo nada en este tema? Claramente hay intereses para que aquí no pase nada”, indicó hace unos días el rector de la Universidad de Chile, Ennio Vivaldi, a Tele13 Radio. Sobre el proyecto del Gobierno, el rector señaló que “presiones debe haber habido muchas”. “Hay intereses de todo tipo: económicos, políticos, ideológicos y religiosos”.
Adaptado de <http://internacional.elpais.com/internacional/2016/07/16/ america/1468621018_314522.html> acceso el 21 de julio de 2016.
En el siguiente fragmento del texto, los verbos subrayados pertenecen, respectivamente, ¿a qué tiempo verbal?
Para los estudiantes, que no han dejado de movilizarse en diversas ciudades de Chile, el problema es evidente: “La gratuidad universal va a llegar cuando crezcamos como China o Japón”, ironizó uno de los portavoces de la Confederación de Estudiantes de Chile…
Provas
TEXTO II
LA GRATUIDAD UNIVERSITARIA ENCALLA EN CHILE El Gobierno de Bachelet no podrá cumplir su anhelo de otorgar estudios superiores gratis a los estudiantes en 2020
ROCÍO MONTES
Santiago de Chile 15 JUL 2016 - 20:54 BRT
La gratuidad universal de la educación superior fue uno de los debates esenciales de la campaña presidencial de 2013 y una de las promesas del programa de Gobierno con que Michelle Bachelet llegó al Palacio de La Moneda en marzo de 2014. De acuerdo con su hoja de ruta, el 70% más vulnerable de los alumnos podría estudiar sin pagar en 2018, al finalizar su Administración, y la gratuidad universal se conseguiría en 2020. Las altas expectativas, sin embargo, chocaron con la realidad. El Ejecutivo presentó el proyecto de educación superior al Congreso y la gratuidad sigue siendo uno de los aspectos controvertidos de la propuesta, que dependerá del crecimiento económico. El propio país, en el futuro, deberá definir si contará con los recursos para financiar la propuesta, que costaría 3.500 millones de dólares (un 1,5% del PIB).
El Ministro de Hacienda, Rodrigo Valdés, explicó al iniciarse el trámite legislativo en el Congreso: “Si Chile tuviera esa plata - supongamos que tenemos la suerte de que el precio del cobre vuelve a tres dólares -, la pregunta siguiente que tendría que hacerse la sociedad, y que el proyecto de ley pone sobre la mesa, es: ‘¿Queremos usar toda esa plata en educación superior o hay otras necesidades que compiten con esta, como la salud o las pensiones?”.
Para los estudiantes, que no han dejado de movilizarse en diversas ciudades de Chile, el problema es evidente: “La gratuidad universal va a llegar cuando crezcamos como China o Japón”, ironizó uno de los portavoces de la Confederación de Estudiantes de Chile, Carlos Vergara. Para el diputado de Revolución Democrática, Giorgio Jackson, exdirigente del movimiento estudiantil de 2011, “esta norma incumple el programa de Gobierno que la Nueva Mayoría [el oficialismo] prometió”.
El proyecto del Ejecutivo chileno - que entre otros asuntos propone la creación de una subsecretaría, una superintendencia y un consejo para la calidad del sector - ha generado un debate intenso. Pretende reformar un sistema de educación superior vigente desde comienzos de los ochenta, en la dictadura de Augusto Pinochet. El régimen despojó al Estado de su responsabilidad histórica en la entrega de un derecho social como la educación, asfixió a las universidades públicas y a instituciones emblemáticas en la formación de la nación —como la Universidad de Chile—, y permitió la instalación de un sistema de enseñanza privada desregulado. Con la llegada de la democracia en 1990 y el progresivo aumento del precio de la matrícula, el mecanismo no se reformuló.
“¿Por qué no se hizo nada en este tema? Claramente hay intereses para que aquí no pase nada”, indicó hace unos días el rector de la Universidad de Chile, Ennio Vivaldi, a Tele13 Radio. Sobre el proyecto del Gobierno, el rector señaló que “presiones debe haber habido muchas”. “Hay intereses de todo tipo: económicos, políticos, ideológicos y religiosos”.
Adaptado de <http://internacional.elpais.com/internacional/2016/07/16/ america/1468621018_314522.html> acceso el 21 de julio de 2016.
Según el texto todas las afirmativas están correctas, EXCEPTO:
Provas
TEXTO I
Claudia Andujar: la artista como antropóloga Claves para entender las fotografías de la artista brasileña en el Malba
La serie Marcados de Claudia Andujar (Suiza, 1931, radicada en Brasil desde 1954) condensa su biografía y su trabajo con la comunidad Yanomami en la selva. En el Malba se exhibe esta conmovedora muestra compuesta por más de 80 fotografías en blanco y negro, la primera dedicada en el país a su trabajo, y presentada por primera vez en la 27ª Bienal de San Pablo. (São Paulo)
La artista expuso en la Fundación Cartier de París, en la Pinacoteca del Estado de San Pablo, de San Pablo. (São Paulo) en la XII Bienal de Estambul y en la Casa Europea de la Fotografía (París). Además, sus fotos integran la colección del MoMA de Nueva York y el Instituto Inhotim (de Brumadinho, Brasil) le dedicó un pabellón de 1600 metros.
Extraído de: http://www.lanacion.com.ar/1900276-claudia-andujar-laartista- como-antropologa acceso en 22.08.2016
Sobre el texto, NO es correcto afirmar:
Provas
Señala la opción en que el verbo “gustar” se utiliza de manera adecuada:
Provas
Señala la opción CORRECTA sobre el uso de los contractivos en español:
Provas
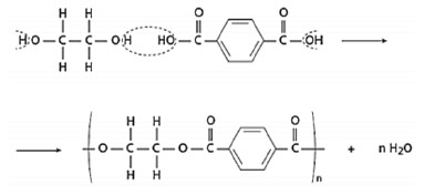
Observe a seguinte reação de polimerização entre o etilenoglicol e o ácido tereftálico:

O nome da reação de polimerização acima, o nome do polímero obtido e a função orgânica presente nele são respectivamente:
Provas
Em 1888, Henri Le Chatelier formulou o chamado princípio de Le Chatelier que afirma: “se uma perturbação externa for aplicada a um sistema em equilíbrio, o sistema reagirá de tal modo a aliviar parcialmente essa perturbação”. Sobre essa afirmação é CORRETO afirmar:
Provas
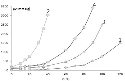
O gráfico abaixo mostra a variação de pressão de vapor de algumas substâncias (pv, em mm de Hg) em relação a temperatura (t, em graus Celsius).

Assinale a alternativa CORRETA:
Provas
A camada protetora mais externa do dente é o esmalte, que é composto de aproximadamente 95% de hidroxiapatita, Ca10(PO4)6(OH)2, e 5% de colágeno. Sobre a solubilidade para os compostos iônicos em água, analise:
I. Generalizando, todos os sais de fosfatos (PO4 3-) são insolúveis;
II. O di-hidrogenofosfato de sódio, NaH2PO4 , é insolúvel;
III. O di-hidrogenofosfato de amônio, (NH4)3PO4, é solúvel;
IV. Generalizando, todos os sais de hidróxidos (OH-) são insolúveis;
V. O hidróxido de sódio, NaOH, é solúvel.
Destas afirmações, estão CORRETAS:
Provas
Caderno Container