Foram encontradas 60 questões.
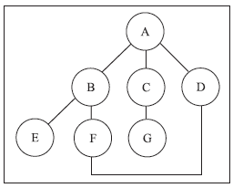
Considere o seguinte grafo.

Assuma que
1) a busca nesse grafo tem início pelo nó A;
2) os nós da esquerda são escolhidos antes dos nós da direita;
3) a busca memoriza os nós já buscados (que são buscados uma única vez).
Então, a ordem de busca nesse grafo será:
Provas
Introduction
Information systems can be very diverse entities ranging from high-end supercomputers to very specialized systems (e.g., industrial/process control systems, telecommunications systems, and environmental control systems). Information systems are subject to serious threats that can have adverse effects on organizational operations (including missions, functions, image, or reputation), organizational assets, individuals, other organizations, and the Nation by compromising the confidentiality, integrity, or availability of information being processed, stored, or transmitted by those systems. Threats to information systems include environmental disruptions, human errors, and purposeful attacks. Attacks on information systems today are often well-organized, disciplined, aggressive, well-funded, and in a growing number of documented cases, extremely sophisticated. Successful attacks on public and private sector information systems can result in great harm to the national and economic security interests of the United States. Given the significant danger of these attacks, it is imperative that leaders at all levels understand their responsibilities in managing the risks from information systems that support the missions and business functions of organizations.
(http://csrc.nist.gov/publications/drafts/800-39/SP800-39-spd-sz.pdf. Adaptado)
Um exemplo de sistema muito especializado – very specialized systems – mencionado no texto é
Provas
Introduction
Information systems can be very diverse entities ranging from high-end supercomputers to very specialized systems (e.g., industrial/process control systems, telecommunications systems, and environmental control systems). Information systems are subject to serious threats that can have adverse effects on organizational operations (including missions, functions, image, or reputation), organizational assets, individuals, other organizations, and the Nation by compromising the confidentiality, integrity, or availability of information being processed, stored, or transmitted by those systems. Threats to information systems include environmental disruptions, human errors, and purposeful attacks. Attacks on information systems today are often well-organized, disciplined, aggressive, well-funded, and in a growing number of documented cases, extremely sophisticated. Successful attacks on public and private sector information systems can result in great harm to the national and economic security interests of the United States. Given the significant danger of these attacks, it is imperative that leaders at all levels understand their responsibilities in managing the risks from information systems that support the missions and business functions of organizations.
(http://csrc.nist.gov/publications/drafts/800-39/SP800-39-spd-sz.pdf. Adaptado)
Segundo o texto, as ameaças aos sistemas de informação
Provas
Information Technology – A Definition
We use the term information technology or IT to refer to an entire industry. In actuality, information technology is the use of computers and software to manage information. In some companies, this is referred to as Management Information Services (or MIS) or simply as Information Services (or IS). The information technology department of a large company would be responsible for storing information, protecting information, processing the information, transmitting the information as necessary, and later retrieving information as necessary.
In order to perform these functions, the modern Information Technology Department would use computers, servers, database management systems, and cryptography. The department would be made up of several System Administrators, Database Administrators and at least one Information Technology Manager. The group usually reports to the Chief Information Officer (CIO).
Information Technology – Trends
Going forward, the Information Technology Department will be increasingly concerned with data storage and management, and will find that information security will continue to be at the top of the priority list. The job outlook for those within the Information Technology organization is extremely strong, with data security and server gurus amongst the highest paid techies.
(http://jobsearchtech.about.com/od/careersintechnology/p/ITDefinition.htm. Adaptado)
Segundo o texto, a principal prioridade de um Departamento de Tecnologia da Informação continua sendo
Provas
Information Technology – A Definition
We use the term information technology or IT to refer to an entire industry. In actuality, information technology is the use of computers and software to manage information. In some companies, this is referred to as Management Information Services (or MIS) or simply as Information Services (or IS). The information technology department of a large company would be responsible for storing information, protecting information, processing the information, transmitting the information as necessary, and later retrieving information as necessary.
In order to perform these functions, the modern Information Technology Department would use computers, servers, database management systems, and cryptography. The department would be made up of several System Administrators, Database Administrators and at least one Information Technology Manager. The group usually reports to the Chief Information Officer (CIO).
Information Technology – Trends
Going forward, the Information Technology Department will be increasingly concerned with data storage and management, and will find that information security will continue to be at the top of the priority list. The job outlook for those within the Information Technology organization is extremely strong, with data security and server gurus amongst the highest paid techies.
(http://jobsearchtech.about.com/od/careersintechnology/p/ITDefinition.htm. Adaptado)
Considere o trecho do segundo parágrafo do texto – In order to perform these functions,...
A expressão in order to indica
Provas
Information Technology – A Definition
We use the term information technology or IT to refer to an entire industry. In actuality, information technology is the use of computers and software to manage information. In some companies, this is referred to as Management Information Services (or MIS) or simply as Information Services (or IS). The information technology department of a large company would be responsible for storing information, protecting information, processing the information, transmitting the information as necessary, and later retrieving information as necessary.
In order to perform these functions, the modern Information Technology Department would use computers, servers, database management systems, and cryptography. The department would be made up of several System Administrators, Database Administrators and at least one Information Technology Manager. The group usually reports to the Chief Information Officer (CIO).
Information Technology – Trends
Going forward, the Information Technology Department will be increasingly concerned with data storage and management, and will find that information security will continue to be at the top of the priority list. The job outlook for those within the Information Technology organization is extremely strong, with data security and server gurus amongst the highest paid techies.
(http://jobsearchtech.about.com/od/careersintechnology/p/ITDefinition.htm. Adaptado)
Considere o trecho do segundo parágrafo do texto – In order to perform these functions,...
A palavra these refere-se a
Provas
Information Technology – A Definition
We use the term information technology or IT to refer to an entire industry. In actuality, information technology is the use of computers and software to manage information. In some companies, this is referred to as Management Information Services (or MIS) or simply as Information Services (or IS). The information technology department of a large company would be responsible for storing information, protecting information, processing the information, transmitting the information as necessary, and later retrieving information as necessary.
In order to perform these functions, the modern Information Technology Department would use computers, servers, database management systems, and cryptography. The department would be made up of several System Administrators, Database Administrators and at least one Information Technology Manager. The group usually reports to the Chief Information Officer (CIO).
Information Technology – Trends
Going forward, the Information Technology Department will be increasingly concerned with data storage and management, and will find that information security will continue to be at the top of the priority list. The job outlook for those within the Information Technology organization is extremely strong, with data security and server gurus amongst the highest paid techies.
(http://jobsearchtech.about.com/od/careersintechnology/p/ITDefinition.htm. Adaptado)
Conforme o texto, a tecnologia da informação
Provas
Disciplina: Atualidades e Conhecimentos Gerais
Banca: VUNESP
Orgão: UFSCAR
A Geórgia anunciou ontem a retirada de tropas (...) e propôs um cessar-fogo (...). Mas os confrontos continuaram no Mar Negro e na fronteira entre a Geórgia e a província separatista. Cerca de dez mil soldados russos deslocaram-se para a província no sábado após forças da Geórgia avançarem na sexta sobre áreas controladas pelos separatistas, apoiados pela Rússia.
(O Estado de S.Paulo, 11.08.2008)
Esses confrontos referem-se à disputa, entre Rússia e Geórgia, pelo território
Provas
Disciplina: Atualidades e Conhecimentos Gerais
Banca: VUNESP
Orgão: UFSCAR
O chanceler Celso Amorim já está pronto para rebater as críticas de que o Brasil cometeu um erro estratégico ao apostar todas as suas fichas na Rodada Doha, em vez de buscar acordos bilaterais.
(Folha de S.Paulo, 30.07.2008)
Um dos motivos que levou ao fracasso dessas negociações, em julho de 2008, foi a
Provas
Disciplina: Atualidades e Conhecimentos Gerais
Banca: VUNESP
Orgão: UFSCAR
Em julho de 2008, um ministro do atual governo brasileiro deixou o cargo. Trata-se de
Provas
Caderno Container