Foram encontradas 25 questões.
Observe o circuito abaixo contendo resistores, fontes de corrente contínua e uma fonte controlada de tensão.

O valor da máxima potência que este circuito pode entregar aos terminais AB é:
Provas
O custo total de produção de energia elétrica de uma concessionária é dado pela equação ) Q !$ CT = (4 + \dfrac {Q^3}{3}) !$ unidades monetárias. Considere que o preço de venda do kWh, P, equivale à equação P = (15 –2Q) unidades monetárias, sendo Q a quantidade de energia vendida. Se for fixado o preço de venda do kWh igual ao seu custo marginal, a concessionária terá:
Provas
Uma empresa possui 16 motores de indução de 40 HP cada um e um motor síncrono de 500 kVA instalados. Todos os motores de indução funcionam simultaneamente com o motor síncrono. O Fator de Potência FP total para os motores de indução é 0,8. O motor síncrono funciona com 400 kVA e com Fator de Potência FP igual a 1,0. Considerando que atuando no motor síncrono pode-se melhorar o FP da instalação total e que este motor síncrono continue realizando o mesmo trabalho mecânico, os Fatores de Potência da instalação antes e depois da atuação no motor serão, respectivamente:
Considere: 1 HP = 750 w, tg(cos-1 0,8) = 0,75 e tg-1 (9/22) = 22º
Provas
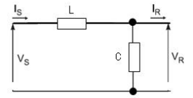
Seja L a indutância de uma linha de transmissão e C a capacitância entre esta linha e a terra, conforme modelo abaixo:

A equação matricial a seguir relaciona as grandezas de entrada e saída do circuito equivalente da linha de transmissão.
!$ \begin{bmatrix} V_S \\ I_S \end{bmatrix} = \begin{bmatrix} \bar{A} & \bar{B} \\ \bar{C} & \bar{D} \end{bmatrix} . \begin{bmatrix} V_R \\ I_R \end{bmatrix} !$
Assinale a alternativa que contém as constantes !$ \bar{A} !$ , !$ \bar{B} !$ ,!$ \bar{C} !$ e !$ \bar{D} !$ do Quadripolo que representa esse circuito equivalente:
Provas
Um sistema de proteção contra descargas atmosféricas do tipo Franklin foi concebido para prover a segurança de uma edificação com largura e comprimento de 20 m e com !$ ^5 \sqrt{3} !$ m de altura. A altura e as condições de utilização desse prédio determinam um ângulo de proteção de 60° para cada captor. Sabendose que serão utilizados quatro captores, como apresentado no esquema abaixo, a altura em metros desses captores em relação à cobertura é de:
Provas
SOMOS NÓS MESMOS
[...]
Nosso hábito, como qualquer debatedor ou expositor corrobora, dos botecos às academias, é falar em nós mesmos como se nos estivéssemos referindo a terceiros. [...] Não só falamos sobre o Brasil como uma entidade à parte da gente como, principalmente, os brasileiros não somos nós, são sempre os outros. O brasileiro não tem jeito — dizemos —, o brasileiro é assim ou assado. Se o brasileiro perdesse tal ou qual hábito, se o brasileiro fizesse isto ou aquilo, a situação melhoraria bastante, é que o brasileiro não se emenda.
Em tempos talvez piores, mas certamente mais simples, era ainda mais fácil, porque minha geração foi criada com uma facilidade muito grande para botar a culpa nos outros. Ou a culpa era dos americanos ou era dos comunistas. Estes últimos, aliás, com a queda da União Soviética, têm feito uma falta enorme, pois nem a pornografia infantil ou as secas no Nordeste podem mais ser-lhe imputadas. Quanto aos americanos, continuam e continuarão aprontando, mas já está ficando meio ridículo e, talvez até entre esquerdistas, pode sair vaia se alguém começar com aquela cantilena de antanho, sobre como tudo é armação do imperialismo americano.
Com as comemorações do Descobrimento, a culpa tem andado bastante nas costas dos portugueses. Se não fossem os portugueses, o Brasil ostentaria a mesma prosperidade, como já tive a oportunidade de lembrar aqui, que países colonizados pelos holandeses, ingleses ou franceses, tais como a Indonésia, a Nigéria, o Zimbábue, o Suriname, a Costa do Marfim, o Sudão, a Índia, a Guiana, e assim por diante. A mestiçagem deslavada também é responsável por esta situação calamitosa. Os brasileiros são uma mistura impraticável de negros, brancos e orientais de todas as origens e isto, naturalmente, não pode dar certo. E, assim, vítima de destino tão ingrato, o Brasil, como ouvimos desde criancinhas, está à beira do abismo e, impotentes, assistimos a tudo de braços inapelavelmente cruzados, nada podemos fazer.
Sei que é chato lembrar e que algum de vocês talvez tenha de recorrer a um terapeuta, pois a realidade é frequentemente insuportável e inaceitável, mas a realidade é que este país, não obstante os esforços em contrário feitos ao longo da História, inclusive a recente, tem sido nosso há algum tempo, tem estado em nossas mãos e, lamentavelmente, é responsabilidade nossa. E, horror dos horrores, os brasileiros somos nós mesmos e não terceiros, a quem possamos aludir com ares de superioridade. Tudo o que está aí, em última análise, é obra nossa e problema nosso, da sujeira nas ruas à violência.
Os políticos, por exemplo, como também já disse diversas vezes aqui, não foram importados de Marte, ou sequer do Haiti, foram produzidos no Brasil mesmo. Contenha o protesto revoltado que se levanta em seu peito varonil (ou feminil; perdão, companheira), ponha a mão na consciência e reconheça: os políticos somos nós, brasileiros como nós, não são “eles”. Quem está no Executivo, no Legislativo e no Judiciário não são os imperialistas americanos e muito menos os dependentes do ouro de Moscou, somos nós mesmos. Éramos nós mesmos até no tempo da ditadura militar, pois, apesar de um militar ou outro se considerar alemão, a verdade é que também eles nasceram aqui e se formaram aqui, são militares brasileiros.
O povo e a elite, entidades a que nunca pertencemos (raramente se usa hoje a expressão “Zé Povinho”, mas se usam equivalentes contemporâneos, como “o povão”), são também a gente, não são “eles”, os alienígenas solertes com que o destino ingrato aquinhoou “esse país”. Da mesma maneira, quem bagunça o tráfego com bandalhas somos nós, quem joga lixo na rua somos nós, quem trata mal os que procuram os serviços públicos somos nós, quem é corrompido somos nós, quem suborna o guarda (e o próprio guarda também, é claro) somos nós, quem destrói o patrimônio público somos nós, quem entope os rios, costas e lagoas de lixo e esgotos somos nós, quem sonega impostos somos nós e até quem assalta somos nós. Talvez alguém ofereça uma tese segundo a qual o Brasil, como se fala da polícia carioca, tenha uma banda podre. A esta, naturalmente, nenhum de nós pertence.
Claro, nenhum de nós se inclui nesse rol abominável. Tudo bem. Nenhum dos leitores deste jornal, muito menos os desta coluna, notadamente o seu autor, jamais praticou ou compactuou com qualquer ato que reprova tão acerbamente todos os dias. É coisa de brasileiro, o brasileiro é assim mesmo. Como seria bom que o brasileiro mudasse, não é mesmo? Mas não muda, é um inferno. Chato, muito chato mesmo, pensar no assunto e chegar à conclusão de que ou estamos malucos ou querendo ficar, pois os responsáveis não são alguma babá, somos de fato nós mesmos. Poderíamos começar a melhorar a situação do país se metêssemos na cabeça, de uma vez por todas, que os brasileiros não são “eles”, somos nós. E fomos nós que construímos tudo isto que está aí, somos nós que mantemos tudo isto e nada disto vai mudar, a não ser que assumamos a dolorosa verdade que nós somos nós.
(RIBEIRO, João Ubaldo. O Globo, 21 maio 2000, c. 1, p. 6. Adaptado para o sistema ortográfico vigente.)
Das alterações processadas em passagens do texto, assinale aquela em que há ERRO de concordância verbal:
Provas
SOMOS NÓS MESMOS
[...]
Nosso hábito, como qualquer debatedor ou expositor corrobora, dos botecos às academias, é falar em nós mesmos como se nos estivéssemos referindo a terceiros. [...] Não só falamos sobre o Brasil como uma entidade à parte da gente como, principalmente, os brasileiros não somos nós, são sempre os outros. O brasileiro não tem jeito — dizemos —, o brasileiro é assim ou assado. Se o brasileiro perdesse tal ou qual hábito, se o brasileiro fizesse isto ou aquilo, a situação melhoraria bastante, é que o brasileiro não se emenda.
Em tempos talvez piores, mas certamente mais simples, era ainda mais fácil, porque minha geração foi criada com uma facilidade muito grande para botar a culpa nos outros. Ou a culpa era dos americanos ou era dos comunistas. Estes últimos, aliás, com a queda da União Soviética, têm feito uma falta enorme, pois nem a pornografia infantil ou as secas no Nordeste podem mais ser-lhe imputadas. Quanto aos americanos, continuam e continuarão aprontando, mas já está ficando meio ridículo e, talvez até entre esquerdistas, pode sair vaia se alguém começar com aquela cantilena de antanho, sobre como tudo é armação do imperialismo americano.
Com as comemorações do Descobrimento, a culpa tem andado bastante nas costas dos portugueses. Se não fossem os portugueses, o Brasil ostentaria a mesma prosperidade, como já tive a oportunidade de lembrar aqui, que países colonizados pelos holandeses, ingleses ou franceses, tais como a Indonésia, a Nigéria, o Zimbábue, o Suriname, a Costa do Marfim, o Sudão, a Índia, a Guiana, e assim por diante. A mestiçagem deslavada também é responsável por esta situação calamitosa. Os brasileiros são uma mistura impraticável de negros, brancos e orientais de todas as origens e isto, naturalmente, não pode dar certo. E, assim, vítima de destino tão ingrato, o Brasil, como ouvimos desde criancinhas, está à beira do abismo e, impotentes, assistimos a tudo de braços inapelavelmente cruzados, nada podemos fazer.
Sei que é chato lembrar e que algum de vocês talvez tenha de recorrer a um terapeuta, pois a realidade é frequentemente insuportável e inaceitável, mas a realidade é que este país, não obstante os esforços em contrário feitos ao longo da História, inclusive a recente, tem sido nosso há algum tempo, tem estado em nossas mãos e, lamentavelmente, é responsabilidade nossa. E, horror dos horrores, os brasileiros somos nós mesmos e não terceiros, a quem possamos aludir com ares de superioridade. Tudo o que está aí, em última análise, é obra nossa e problema nosso, da sujeira nas ruas à violência.
Os políticos, por exemplo, como também já disse diversas vezes aqui, não foram importados de Marte, ou sequer do Haiti, foram produzidos no Brasil mesmo. Contenha o protesto revoltado que se levanta em seu peito varonil (ou feminil; perdão, companheira), ponha a mão na consciência e reconheça: os políticos somos nós, brasileiros como nós, não são “eles”. Quem está no Executivo, no Legislativo e no Judiciário não são os imperialistas americanos e muito menos os dependentes do ouro de Moscou, somos nós mesmos. Éramos nós mesmos até no tempo da ditadura militar, pois, apesar de um militar ou outro se considerar alemão, a verdade é que também eles nasceram aqui e se formaram aqui, são militares brasileiros.
O povo e a elite, entidades a que nunca pertencemos (raramente se usa hoje a expressão “Zé Povinho”, mas se usam equivalentes contemporâneos, como “o povão”), são também a gente, não são “eles”, os alienígenas solertes com que o destino ingrato aquinhoou “esse país”. Da mesma maneira, quem bagunça o tráfego com bandalhas somos nós, quem joga lixo na rua somos nós, quem trata mal os que procuram os serviços públicos somos nós, quem é corrompido somos nós, quem suborna o guarda (e o próprio guarda também, é claro) somos nós, quem destrói o patrimônio público somos nós, quem entope os rios, costas e lagoas de lixo e esgotos somos nós, quem sonega impostos somos nós e até quem assalta somos nós. Talvez alguém ofereça uma tese segundo a qual o Brasil, como se fala da polícia carioca, tenha uma banda podre. A esta, naturalmente, nenhum de nós pertence.
Claro, nenhum de nós se inclui nesse rol abominável. Tudo bem. Nenhum dos leitores deste jornal, muito menos os desta coluna, notadamente o seu autor, jamais praticou ou compactuou com qualquer ato que reprova tão acerbamente todos os dias. É coisa de brasileiro, o brasileiro é assim mesmo. Como seria bom que o brasileiro mudasse, não é mesmo? Mas não muda, é um inferno. Chato, muito chato mesmo, pensar no assunto e chegar à conclusão de que ou estamos malucos ou querendo ficar, pois os responsáveis não são alguma babá, somos de fato nós mesmos. Poderíamos começar a melhorar a situação do país se metêssemos na cabeça, de uma vez por todas, que os brasileiros não são “eles”, somos nós. E fomos nós que construímos tudo isto que está aí, somos nós que mantemos tudo isto e nada disto vai mudar, a não ser que assumamos a dolorosa verdade que nós somos nós.
(RIBEIRO, João Ubaldo. O Globo, 21 maio 2000, c. 1, p. 6. Adaptado para o sistema ortográfico vigente.)
“O povo e a elite, entidades a que nunca pertencemos [...], são também a gente [...].” (§ 6) Das alterações processadas na passagem acima, aquela em que o emprego da preposição em destaque CONTRARIA a norma culta da língua é:
Provas
SOMOS NÓS MESMOS
[...]
Nosso hábito, como qualquer debatedor ou expositor corrobora, dos botecos às academias, é falar em nós mesmos como se nos estivéssemos referindo a terceiros. [...] Não só falamos sobre o Brasil como uma entidade à parte da gente como, principalmente, os brasileiros não somos nós, são sempre os outros. O brasileiro não tem jeito — dizemos —, o brasileiro é assim ou assado. Se o brasileiro perdesse tal ou qual hábito, se o brasileiro fizesse isto ou aquilo, a situação melhoraria bastante, é que o brasileiro não se emenda.
Em tempos talvez piores, mas certamente mais simples, era ainda mais fácil, porque minha geração foi criada com uma facilidade muito grande para botar a culpa nos outros. Ou a culpa era dos americanos ou era dos comunistas. Estes últimos, aliás, com a queda da União Soviética, têm feito uma falta enorme, pois nem a pornografia infantil ou as secas no Nordeste podem mais ser-lhe imputadas. Quanto aos americanos, continuam e continuarão aprontando, mas já está ficando meio ridículo e, talvez até entre esquerdistas, pode sair vaia se alguém começar com aquela cantilena de antanho, sobre como tudo é armação do imperialismo americano.
Com as comemorações do Descobrimento, a culpa tem andado bastante nas costas dos portugueses. Se não fossem os portugueses, o Brasil ostentaria a mesma prosperidade, como já tive a oportunidade de lembrar aqui, que países colonizados pelos holandeses, ingleses ou franceses, tais como a Indonésia, a Nigéria, o Zimbábue, o Suriname, a Costa do Marfim, o Sudão, a Índia, a Guiana, e assim por diante. A mestiçagem deslavada também é responsável por esta situação calamitosa. Os brasileiros são uma mistura impraticável de negros, brancos e orientais de todas as origens e isto, naturalmente, não pode dar certo. E, assim, vítima de destino tão ingrato, o Brasil, como ouvimos desde criancinhas, está à beira do abismo e, impotentes, assistimos a tudo de braços inapelavelmente cruzados, nada podemos fazer.
Sei que é chato lembrar e que algum de vocês talvez tenha de recorrer a um terapeuta, pois a realidade é frequentemente insuportável e inaceitável, mas a realidade é que este país, não obstante os esforços em contrário feitos ao longo da História, inclusive a recente, tem sido nosso há algum tempo, tem estado em nossas mãos e, lamentavelmente, é responsabilidade nossa. E, horror dos horrores, os brasileiros somos nós mesmos e não terceiros, a quem possamos aludir com ares de superioridade. Tudo o que está aí, em última análise, é obra nossa e problema nosso, da sujeira nas ruas à violência.
Os políticos, por exemplo, como também já disse diversas vezes aqui, não foram importados de Marte, ou sequer do Haiti, foram produzidos no Brasil mesmo. Contenha o protesto revoltado que se levanta em seu peito varonil (ou feminil; perdão, companheira), ponha a mão na consciência e reconheça: os políticos somos nós, brasileiros como nós, não são “eles”. Quem está no Executivo, no Legislativo e no Judiciário não são os imperialistas americanos e muito menos os dependentes do ouro de Moscou, somos nós mesmos. Éramos nós mesmos até no tempo da ditadura militar, pois, apesar de um militar ou outro se considerar alemão, a verdade é que também eles nasceram aqui e se formaram aqui, são militares brasileiros.
O povo e a elite, entidades a que nunca pertencemos (raramente se usa hoje a expressão “Zé Povinho”, mas se usam equivalentes contemporâneos, como “o povão”), são também a gente, não são “eles”, os alienígenas solertes com que o destino ingrato aquinhoou “esse país”. Da mesma maneira, quem bagunça o tráfego com bandalhas somos nós, quem joga lixo na rua somos nós, quem trata mal os que procuram os serviços públicos somos nós, quem é corrompido somos nós, quem suborna o guarda (e o próprio guarda também, é claro) somos nós, quem destrói o patrimônio público somos nós, quem entope os rios, costas e lagoas de lixo e esgotos somos nós, quem sonega impostos somos nós e até quem assalta somos nós. Talvez alguém ofereça uma tese segundo a qual o Brasil, como se fala da polícia carioca, tenha uma banda podre. A esta, naturalmente, nenhum de nós pertence.
Claro, nenhum de nós se inclui nesse rol abominável. Tudo bem. Nenhum dos leitores deste jornal, muito menos os desta coluna, notadamente o seu autor, jamais praticou ou compactuou com qualquer ato que reprova tão acerbamente todos os dias. É coisa de brasileiro, o brasileiro é assim mesmo. Como seria bom que o brasileiro mudasse, não é mesmo? Mas não muda, é um inferno. Chato, muito chato mesmo, pensar no assunto e chegar à conclusão de que ou estamos malucos ou querendo ficar, pois os responsáveis não são alguma babá, somos de fato nós mesmos. Poderíamos começar a melhorar a situação do país se metêssemos na cabeça, de uma vez por todas, que os brasileiros não são “eles”, somos nós. E fomos nós que construímos tudo isto que está aí, somos nós que mantemos tudo isto e nada disto vai mudar, a não ser que assumamos a dolorosa verdade que nós somos nós.
(RIBEIRO, João Ubaldo. O Globo, 21 maio 2000, c. 1, p. 6. Adaptado para o sistema ortográfico vigente.)
"Em tempos talvez piores, mas certamente mais simples, era ainda mais fácil, porque minha geração foi criada com uma facilidade muito grande para botar a culpa nos outros.” (§ 2) “[...] quem trata mal os que procuram os serviços públicos somos nós [...].” (§ 6)
É frequente a confusão que se faz entre mal e mau, bem como entre porque e por que. Assinale a alternativa em que a palavra em destaque aparece grafada INCORRETAMENTE:
Provas
SOMOS NÓS MESMOS
[...]
Nosso hábito, como qualquer debatedor ou expositor corrobora, dos botecos às academias, é falar em nós mesmos como se nos estivéssemos referindo a terceiros. [...] Não só falamos sobre o Brasil como uma entidade à parte da gente como, principalmente, os brasileiros não somos nós, são sempre os outros. O brasileiro não tem jeito — dizemos —, o brasileiro é assim ou assado. Se o brasileiro perdesse tal ou qual hábito, se o brasileiro fizesse isto ou aquilo, a situação melhoraria bastante, é que o brasileiro não se emenda.
Em tempos talvez piores, mas certamente mais simples, era ainda mais fácil, porque minha geração foi criada com uma facilidade muito grande para botar a culpa nos outros. Ou a culpa era dos americanos ou era dos comunistas. Estes últimos, aliás, com a queda da União Soviética, têm feito uma falta enorme, pois nem a pornografia infantil ou as secas no Nordeste podem mais ser-lhe imputadas. Quanto aos americanos, continuam e continuarão aprontando, mas já está ficando meio ridículo e, talvez até entre esquerdistas, pode sair vaia se alguém começar com aquela cantilena de antanho, sobre como tudo é armação do imperialismo americano.
Com as comemorações do Descobrimento, a culpa tem andado bastante nas costas dos portugueses. Se não fossem os portugueses, o Brasil ostentaria a mesma prosperidade, como já tive a oportunidade de lembrar aqui, que países colonizados pelos holandeses, ingleses ou franceses, tais como a Indonésia, a Nigéria, o Zimbábue, o Suriname, a Costa do Marfim, o Sudão, a Índia, a Guiana, e assim por diante. A mestiçagem deslavada também é responsável por esta situação calamitosa. Os brasileiros são uma mistura impraticável de negros, brancos e orientais de todas as origens e isto, naturalmente, não pode dar certo. E, assim, vítima de destino tão ingrato, o Brasil, como ouvimos desde criancinhas, está à beira do abismo e, impotentes, assistimos a tudo de braços inapelavelmente cruzados, nada podemos fazer.
Sei que é chato lembrar e que algum de vocês talvez tenha de recorrer a um terapeuta, pois a realidade é frequentemente insuportável e inaceitável, mas a realidade é que este país, não obstante os esforços em contrário feitos ao longo da História, inclusive a recente, tem sido nosso há algum tempo, tem estado em nossas mãos e, lamentavelmente, é responsabilidade nossa. E, horror dos horrores, os brasileiros somos nós mesmos e não terceiros, a quem possamos aludir com ares de superioridade. Tudo o que está aí, em última análise, é obra nossa e problema nosso, da sujeira nas ruas à violência.
Os políticos, por exemplo, como também já disse diversas vezes aqui, não foram importados de Marte, ou sequer do Haiti, foram produzidos no Brasil mesmo. Contenha o protesto revoltado que se levanta em seu peito varonil (ou feminil; perdão, companheira), ponha a mão na consciência e reconheça: os políticos somos nós, brasileiros como nós, não são “eles”. Quem está no Executivo, no Legislativo e no Judiciário não são os imperialistas americanos e muito menos os dependentes do ouro de Moscou, somos nós mesmos. Éramos nós mesmos até no tempo da ditadura militar, pois, apesar de um militar ou outro se considerar alemão, a verdade é que também eles nasceram aqui e se formaram aqui, são militares brasileiros.
O povo e a elite, entidades a que nunca pertencemos (raramente se usa hoje a expressão “Zé Povinho”, mas se usam equivalentes contemporâneos, como “o povão”), são também a gente, não são “eles”, os alienígenas solertes com que o destino ingrato aquinhoou “esse país”. Da mesma maneira, quem bagunça o tráfego com bandalhas somos nós, quem joga lixo na rua somos nós, quem trata mal os que procuram os serviços públicos somos nós, quem é corrompido somos nós, quem suborna o guarda (e o próprio guarda também, é claro) somos nós, quem destrói o patrimônio público somos nós, quem entope os rios, costas e lagoas de lixo e esgotos somos nós, quem sonega impostos somos nós e até quem assalta somos nós. Talvez alguém ofereça uma tese segundo a qual o Brasil, como se fala da polícia carioca, tenha uma banda podre. A esta, naturalmente, nenhum de nós pertence.
Claro, nenhum de nós se inclui nesse rol abominável. Tudo bem. Nenhum dos leitores deste jornal, muito menos os desta coluna, notadamente o seu autor, jamais praticou ou compactuou com qualquer ato que reprova tão acerbamente todos os dias. É coisa de brasileiro, o brasileiro é assim mesmo. Como seria bom que o brasileiro mudasse, não é mesmo? Mas não muda, é um inferno. Chato, muito chato mesmo, pensar no assunto e chegar à conclusão de que ou estamos malucos ou querendo ficar, pois os responsáveis não são alguma babá, somos de fato nós mesmos. Poderíamos começar a melhorar a situação do país se metêssemos na cabeça, de uma vez por todas, que os brasileiros não são “eles”, somos nós. E fomos nós que construímos tudo isto que está aí, somos nós que mantemos tudo isto e nada disto vai mudar, a não ser que assumamos a dolorosa verdade que nós somos nós.
(RIBEIRO, João Ubaldo. O Globo, 21 maio 2000, c. 1, p. 6. Adaptado para o sistema ortográfico vigente.)
“[...] mas a realidade é que este país, não obstante os esforços em contrário feitos ao longo da História, inclusive a recente, tem sido nosso há algum tempo [...].” (§ 4) O trecho sublinhado na passagem acima pode ser substituído, sem que haja substancial alteração de sentido, por:
Provas
SOMOS NÓS MESMOS
[...]
Nosso hábito, como qualquer debatedor ou expositor corrobora, dos botecos às academias, é falar em nós mesmos como se nos estivéssemos referindo a terceiros. [...] Não só falamos sobre o Brasil como uma entidade à parte da gente como, principalmente, os brasileiros não somos nós, são sempre os outros. O brasileiro não tem jeito — dizemos —, o brasileiro é assim ou assado. Se o brasileiro perdesse tal ou qual hábito, se o brasileiro fizesse isto ou aquilo, a situação melhoraria bastante, é que o brasileiro não se emenda.
Em tempos talvez piores, mas certamente mais simples, era ainda mais fácil, porque minha geração foi criada com uma facilidade muito grande para botar a culpa nos outros. Ou a culpa era dos americanos ou era dos comunistas. Estes últimos, aliás, com a queda da União Soviética, têm feito uma falta enorme, pois nem a pornografia infantil ou as secas no Nordeste podem mais ser-lhe imputadas. Quanto aos americanos, continuam e continuarão aprontando, mas já está ficando meio ridículo e, talvez até entre esquerdistas, pode sair vaia se alguém começar com aquela cantilena de antanho, sobre como tudo é armação do imperialismo americano.
Com as comemorações do Descobrimento, a culpa tem andado bastante nas costas dos portugueses. Se não fossem os portugueses, o Brasil ostentaria a mesma prosperidade, como já tive a oportunidade de lembrar aqui, que países colonizados pelos holandeses, ingleses ou franceses, tais como a Indonésia, a Nigéria, o Zimbábue, o Suriname, a Costa do Marfim, o Sudão, a Índia, a Guiana, e assim por diante. A mestiçagem deslavada também é responsável por esta situação calamitosa. Os brasileiros são uma mistura impraticável de negros, brancos e orientais de todas as origens e isto, naturalmente, não pode dar certo. E, assim, vítima de destino tão ingrato, o Brasil, como ouvimos desde criancinhas, está à beira do abismo e, impotentes, assistimos a tudo de braços inapelavelmente cruzados, nada podemos fazer.
Sei que é chato lembrar e que algum de vocês talvez tenha de recorrer a um terapeuta, pois a realidade é frequentemente insuportável e inaceitável, mas a realidade é que este país, não obstante os esforços em contrário feitos ao longo da História, inclusive a recente, tem sido nosso há algum tempo, tem estado em nossas mãos e, lamentavelmente, é responsabilidade nossa. E, horror dos horrores, os brasileiros somos nós mesmos e não terceiros, a quem possamos aludir com ares de superioridade. Tudo o que está aí, em última análise, é obra nossa e problema nosso, da sujeira nas ruas à violência.
Os políticos, por exemplo, como também já disse diversas vezes aqui, não foram importados de Marte, ou sequer do Haiti, foram produzidos no Brasil mesmo. Contenha o protesto revoltado que se levanta em seu peito varonil (ou feminil; perdão, companheira), ponha a mão na consciência e reconheça: os políticos somos nós, brasileiros como nós, não são “eles”. Quem está no Executivo, no Legislativo e no Judiciário não são os imperialistas americanos e muito menos os dependentes do ouro de Moscou, somos nós mesmos. Éramos nós mesmos até no tempo da ditadura militar, pois, apesar de um militar ou outro se considerar alemão, a verdade é que também eles nasceram aqui e se formaram aqui, são militares brasileiros.
O povo e a elite, entidades a que nunca pertencemos (raramente se usa hoje a expressão “Zé Povinho”, mas se usam equivalentes contemporâneos, como “o povão”), são também a gente, não são “eles”, os alienígenas solertes com que o destino ingrato aquinhoou “esse país”. Da mesma maneira, quem bagunça o tráfego com bandalhas somos nós, quem joga lixo na rua somos nós, quem trata mal os que procuram os serviços públicos somos nós, quem é corrompido somos nós, quem suborna o guarda (e o próprio guarda também, é claro) somos nós, quem destrói o patrimônio público somos nós, quem entope os rios, costas e lagoas de lixo e esgotos somos nós, quem sonega impostos somos nós e até quem assalta somos nós. Talvez alguém ofereça uma tese segundo a qual o Brasil, como se fala da polícia carioca, tenha uma banda podre. A esta, naturalmente, nenhum de nós pertence.
Claro, nenhum de nós se inclui nesse rol abominável. Tudo bem. Nenhum dos leitores deste jornal, muito menos os desta coluna, notadamente o seu autor, jamais praticou ou compactuou com qualquer ato que reprova tão acerbamente todos os dias. É coisa de brasileiro, o brasileiro é assim mesmo. Como seria bom que o brasileiro mudasse, não é mesmo? Mas não muda, é um inferno. Chato, muito chato mesmo, pensar no assunto e chegar à conclusão de que ou estamos malucos ou querendo ficar, pois os responsáveis não são alguma babá, somos de fato nós mesmos. Poderíamos começar a melhorar a situação do país se metêssemos na cabeça, de uma vez por todas, que os brasileiros não são “eles”, somos nós. E fomos nós que construímos tudo isto que está aí, somos nós que mantemos tudo isto e nada disto vai mudar, a não ser que assumamos a dolorosa verdade que nós somos nós.
(RIBEIRO, João Ubaldo. O Globo, 21 maio 2000, c. 1, p. 6. Adaptado para o sistema ortográfico vigente.)
O autor se vale de palavras ou expressões altamente sugestivas, de valor conotativo. Assinale a alternativa em que a conotação atribuída à palavra ou expressão sublinhada NÃO condiz com o sentido geral do texto:
Provas
Caderno Container