Foram encontradas 180 questões.
Observe o mapa.

(Jacques Charlier, Atlas du 21 e siécle. Paris. 2002. Adaptado)
Elaborado sobre uma base cartográfica que aponta os limites políticos da América do Sul, esse mapa temático evidencia
Provas
Questão presente nas seguintes provas
A economia brasileira cresceu 5,4% em 2007, segundo os dados anunciados em março de 2008 pelo Instituto Brasileiro de Geografia e Estatística (IBGE). Para chegar a esse número, o IBGE considerou o PIB – Produto Interno Bruto – como principal referência para medir o tamanho da economia.
(Eustáquio Sene e João Carlos Moreira. Geografia Geral e do Brasil. Adaptado)
A partir do texto e de seus conhecimentos, pode-se considerar que o PIB revela
Provas
Questão presente nas seguintes provas
Um recipiente continha 800 mL de uma mistura de soro fisiológico com um certo medicamento líquido, que representava 25% dessa mistura. Foi, então, colocado mais soro nesse recipiente, e o medicamento passou a representar apenas 20% da mistura, que ficou com um total de
Provas
Questão presente nas seguintes provas
Caso a concentração de monóxido de carbono no ar de uma cidade atinja a marca de 46 000 μg.m–3, deve ser decretado o nível de emergência, que implica na proibição da circulação de veículos movidos a gasolina.
Supondo que a composição da gasolina seja dada pela fórmula C8H18,, a combustão incompleta da gasolina que gera o monóxido de carbono pode ser representada pela equação:
2 C8H18 + x O2 → y CO + z H2O
Os coeficientes x, y e z são, respectivamente,
Provas
Questão presente nas seguintes provas
Observe o esquema.

As letras A, B e C indicam alguns conceitos muito utilizados em Ecologia. Pode-se afirmar que correspondem, respectivamente, à
Provas
Questão presente nas seguintes provas
Um veículo trafega por uma estrada retilínea e, em determinado instante, seu motorista avista uma praça de pedágio. Ele passa, então, a desacelerar uniformemente até parar em frente à cabine de arrecadação, onde efetua o pagamento da tarifa para, em seguida, acelerar uniformemente no mesmo sentido de viagem. O gráfico da posição, em função do tempo, que melhor representa o procedimento relatado é o da alternativa
Provas
Questão presente nas seguintes provas
Sete resistores iguais, com resistência R constante cada um, são associados como mostra a figura.

A resistência equivalente desse circuito, entre os pontos A e B, é dada por
Provas
Questão presente nas seguintes provas
Na figura, o retângulo EFCG está decomposto em quadrados. A razão entre a área do quadrado EHIG e a área do quadrado ABCD é de

Provas
Questão presente nas seguintes provas
Num parque de diversões, há um brinquedo original que consta de um carro impulsionado por uma mola elástica, a partir do repouso, como na figura I. O gráfico da figura II ilustra a intensidade dessa força elástica que a mola exerce no carro quando for por ele comprimida. Considere a massa da criança mais a do carro igual a 25 kg e a deformação da mola igual a 1,0 m no instante em que é liberada empurrando o carro.

Supondo desprezível o efeito de qualquer espécie de atrito, a velocidade que o carro adquire após soltar-se da mola vale
Provas
Questão presente nas seguintes provas
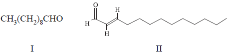
O coentro, erva originária do Mediterrâneo, é amplamente utilizado na culinária brasileira, especialmente na Região Nordeste. As folhas e frutos do coentro são estimulantes das funções digestivas. Na indústria cosmética e de perfumaria, o óleo essencial é utilizado na preparação de cremes para o rosto e corpo e em vários tipos de sachês.
O sabor das folhas de coentro fresco deve-se aos constituintes do óleo essencial, entre os quais predominam as substâncias I e II, representadas a seguir:

As substâncias I e II
Provas
Questão presente nas seguintes provas
Cadernos
Caderno Container