Foram encontradas 90 questões.
A questão toma por base um fragmento de Glória moribunda, do poeta romântico brasileiro Álvares de Azevedo (1831-1852).
É uma visão medonha uma caveira? Não tremas de pavor, ergue-a do lodo. Foi a cabeça ardente de um poeta, Outrora à sombra dos cabelos loiros. Quando o reflexo do viver fogoso Ali dentro animava o pensamento, Esta fronte era bela. Aqui nas faces Formosa palidez cobria o rosto; Nessas órbitas — ocas, denegridas! — Como era puro seu olhar sombrio!
Agora tudo é cinza. Resta apenas A caveira que a alma em si guardava, Como a concha no mar encerra a pérola, Como a caçoula a mirra incandescente.
Tu outrora talvez desses-lhe um beijo; Por que repugnas levantá-la agora? Olha-a comigo! Que espaçosa fronte! Quanta vida ali dentro fermentava, Como a seiva nos ramos do arvoredo! E a sede em fogo das ideias vivas Onde está? onde foi? Essa alma errante Que um dia no viver passou cantando, Como canta na treva um vagabundo, Perdeu-se acaso no sombrio vento, Como noturna lâmpada apagou-se? E a centelha da vida, o eletrismo Que as fibras tremulantes agitava Morreu para animar futuras vidas?
Sorris? eu sou um louco. As utopias, Os sonhos da ciência nada valem. A vida é um escárnio sem sentido, Comédia infame que ensanguenta o lodo. Há talvez um segredo que ela esconde; Mas esse a morte o sabe e o não revela. Os túmulos são mudos como o vácuo. Desde a primeira dor sobre um cadáver, Quando a primeira mãe entre soluços Do filho morto os membros apertava Ao ofegante seio, o peito humano Caiu tremendo interrogando o túmulo... E a terra sepulcral não respondia.
( Poesias completas, 1962.)
E a centelha da vida, o eletrismo
No contexto em que é empregado, o termo eletrismo, que não consta dos dicionários, significa:
Provas
A República Islâmica do Irã abençoa e incentiva operações de troca de sexo, em nome de uma política que considera todo cidadão não heterossexual como espírito nascido no corpo errado. Com ao menos 50 cirurgias por ano, o país é recordista mundial em mudança de sexo, após a Tailândia. Oficialmente, gays não existem no país. Ficou famosa a frase do presidente Mahmoud Ahmadinejad dita a uma plateia de estudantes nos EUA em 2007, de que “não há homossexuais no Irã”. A homossexualidade nem consta da lei. Mas sodomia é passível de execução. […] Uma transexual operada confidenciou um sentimento amplamente compartilhado em silêncio: “Não teria mutilado meu corpo se a sociedade tivesse me aceitado do jeito que eu nasci”.
(Samy Adghirny. Operação antigay. Folha de S.Paulo, 13.01.2013.)
O incentivo a cirurgias de troca de sexo no Irã é motivado por
Provas
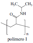
Recentemente, pesquisadores criaram um algodão que é capaz de capturar elevadas quantidades de água do ar. Eles revestiram fibras naturais de algodão com o polímero I, que tem a propriedade de sofrer transições rápidas e reversíveis em resposta a mudanças de temperatura. Assim, as fibras revestidas funcionam como uma “esponja de algodão”. Abaixo dos 34 ºC as fibras do algodão revestido se abrem, coletando a umidade do ar. Quando a temperatura sobe, os poros do tecido se fecham, liberando toda a água retida em seu interior - uma água totalmente pura, sem traços do material sintético.
(www.inovacaotecnologica.com.br. Adaptado.)

Na representação do polímero I, observa-se a unidade da cadeia polimérica que se repete n vezes para a formação da macromolécula. Essa unidade polimérica apresenta um grupo funcional classificado como
Provas
Leia o texto para responder a questão.
Brazil wants to count trees in the Amazon rainforest
By Channtal Fleischfresser
February 11, 2013

Photo: Flickr/Nico Crisafulli
Brazil is home to roughly 60 percent of the Amazon, about half of what remains of the world’s tropical rainforests. And now, the country has plans to count its trees. A vast undertaking, the new National Forest Inventory hopes to gain “a broad panorama of the quality and the conditions in the forest cover”, according to Brazil’s Forestry Minister Antonio Carlos Hummel.
The census, set to take place over the next four years, will scour 3,288,000 square miles, sampling 20,000 points at 20 kilometer intervals and registering the number, height, diameter, and species of the trees, among other data.
The initiative, aimed to better allocate resources to the country’s forests, is part of a large-scale turnaround in Brazil’s relationship to its forests. While it once had one of the worst rates of deforestation in the world, last year only 1,797 square miles of the Amazon were destroyed – a reduction of nearly 80% compared to 2004.
(www.smartplanet.com. Adaptado.)
No trecho do primeiro parágrafo – Brazil is home to roughly 60 percent of the Amazon –, a palavra roughly equivale, em português, a
Provas
A forma comum, e talvez a mais antiga, de poluir as águas é pelo lançamento de dejetos humanos e de animais domésticos em rios, lagos e mares. Por serem constituídos de matéria orgânica, esses dejetos aumentam a quantidade de nutrientes disponíveis no ambiente aquático, fenômeno denominado eutrofização (do grego eu, bem, bom, e trofos, nutrição).
(José Mariano Amabis e Gilberto Rodrigues Martho. Biologia das populações, vol. 3, 2004. Adaptado.)
Nos gráficos, o eixo Y corresponde a um dentre vários fatores que se alteram durante o processo de eutrofização, e o eixo X o tempo decorrido no processo.

A partir das informações fornecidas, considere um lago que esteja em processo de eutrofização. O teor de oxigênio na água, a concentração de micro-organismos aeróbicos, a mortandade dos peixes e a concentração de micro-organismos anaeróbicos podem ser representados, respectivamente, pelos gráficos
Provas
A soma de quatro números é 100. Três deles são primos e um dos quatro é a soma dos outros três. O número de soluções existentes para este problema é
Provas
A questão toma por base uma passagem de um livro de José Ribeiro sobre o folclore nacional.
Curupira
Na teogonia* tupi, o anhangá, gênio andante, espírito andejo ou vagabundo, destinava-se a proteger a caça do campo. Era imaginado, segundo a tradição colhida pelo Dr. Couto de Magalhães, sob a figura de um veado branco, com olhos de fogo.
Todo aquele que perseguisse um animal que estivesse amamentando corria o risco de ver Anhangá e a visão determinava logo a febre e, às vezes, a loucura. O caapora é o mesmo tipo mítico encontrado nas regiões central e meridional e aí representado por um homem enorme coberto de pelos negros por todo o rosto e por todo o corpo, ao qual se confiou a proteção da caça do mato. Tristonho e taciturno, anda sempre montado em um porco de grandes dimensões, dando de quando em vez um grito para impelir a vara. Quem o encontra adquire logo a certeza de ficar infeliz e de ser mal sucedido em tudo que intentar. Dele se originaram as expressões portuguesas caipora e caiporismo, como sinônimo de má sorte, infelicidade, desdita nos negócios. Bilac assim o descreve: “Companheiro do curupira, ou sua duplicata, é o Caapora, ora gigante, ora anão, montado num caititu, e cavalgando à frente de varas de porcos do mato, fumando cachimbo ou cigarro, pedindo fogo aos viajores; à frente dele voam os vaga-lumes, seus batedores, alumiando o caminho”.
Ambos representam um só mito com diferente configuração e a mesma identidade com o curupira e o jurupari, numes que guardam a floresta. Todos convergem mais ou menos para o mesmo fim, sendo que o curupira é representado na região setentrional por um “pequeno tapuio” com os pés voltados para trás e sem os orifícios necessários para as secreções indispensáveis à vida, pelo que a gente do Pará diz que ele é músico. O Curupira ou Currupira, como é chamado no sul, aliás erroneamente, figura em uma infinidade de lendas tanto no norte como no sul do Brasil. No Pará, quando se viaja pelos rios e se ouve alguma pancada longínqua no meio dos bosques, “os romeiros dizem que é o Curupira que está batendo nas sapupemas, a ver se as árvores estão suficientemente fortes para sofrerem a ação de alguma tempestade que está próxima. A função do Curupira é proteger as florestas. Todo aquele que derriba, ou por qualquer modo estraga inutilmente as árvores, é punido por ele com a pena de errar tempos imensos pelos bosques, sem poder atinar com o caminho de casa, ou meio algum de chegar até os seus”. Como se vê, qualquer desses tipos é a manifestação de um só mito em regiões e circunstâncias diferentes.
( O Brasil no folclore, 1970.)
(*) Teogonia, s.f.: 1. Filos. Doutrina mística relativa ao nascimento dos deuses, e que frequentemente se relaciona com a formação do mundo. 2. Conjunto de divindades cujo culto forma o sistema religioso dum povo politeísta. (Dicionário Aurélio Eletrônico – Século XXI.)
Tomando por base as informações do texto, as ações de Anhangá, Caapora e Curupira seriam consideradas, na atualidade,
Provas
A questão toma por base um fragmento de Glória moribunda, do poeta romântico brasileiro Álvares de Azevedo (1831-1852).
É uma visão medonha uma caveira? Não tremas de pavor, ergue-a do lodo. Foi a cabeça ardente de um poeta, Outrora à sombra dos cabelos loiros. Quando o reflexo do viver fogoso Ali dentro animava o pensamento, Esta fronte era bela. Aqui nas faces Formosa palidez cobria o rosto; Nessas órbitas — ocas, denegridas! — Como era puro seu olhar sombrio!
Agora tudo é cinza. Resta apenas A caveira que a alma em si guardava, Como a concha no mar encerra a pérola, Como a caçoula a mirra incandescente.
Tu outrora talvez desses-lhe um beijo; Por que repugnas levantá-la agora? Olha-a comigo! Que espaçosa fronte! Quanta vida ali dentro fermentava, Como a seiva nos ramos do arvoredo! E a sede em fogo das ideias vivas Onde está? onde foi? Essa alma errante Que um dia no viver passou cantando, Como canta na treva um vagabundo, Perdeu-se acaso no sombrio vento, Como noturna lâmpada apagou-se? E a centelha da vida, o eletrismo Que as fibras tremulantes agitava Morreu para animar futuras vidas?
Sorris? eu sou um louco. As utopias, Os sonhos da ciência nada valem. A vida é um escárnio sem sentido, Comédia infame que ensanguenta o lodo. Há talvez um segredo que ela esconde; Mas esse a morte o sabe e o não revela. Os túmulos são mudos como o vácuo. Desde a primeira dor sobre um cadáver, Quando a primeira mãe entre soluços Do filho morto os membros apertava Ao ofegante seio, o peito humano Caiu tremendo interrogando o túmulo... E a terra sepulcral não respondia.
( Poesias completas, 1962.)
Mas esse a morte o sabe e o não revela.
Nas duas orações que constituem este verso, os termos em destaque apresentam o mesmo referente, a saber:
Provas
Analise a tabela e o mapa.
Ranking dos maiores PIBs do mundo em 2010

Concentração de renda no mundo em 2008 (Índice de Gini)*

*Quanto mais próximo a zero for o Índice de Gini, menor é a concentração de renda no país.
(James Tamdjian e Ivan Mendes. Geografia: estudos para compreensão do espaço, 2011. Adaptado.)
A partir da análise da tabela e do mapa, é correto afirmar que
Provas
A vanilina, 4-hidroxi-3-metoxibenzaldeído, fórmula C8H8O3, é responsável pelo aroma e sabor de baunilha, muito apreciados no mundo inteiro. É obtida tradicionalmente das vagens, também chamadas de favas, de uma orquídea tropical, a Vanilla planifolia.
A figura mostra um processo de extração da vanilina a partir de vagens de orquídea espalhadas sobre bandejas perfuradas, em tanques de aço, usando etanol (60% v/v) como solvente. Em geral, a extração dura duas semanas.

(www.greener-industry.org.uk. Adaptado.)
De acordo com o que mostra a figura, a extração da vanilina a partir de fontes naturais se dá por
Provas
Caderno Container