Foram encontradas 460 questões.
No MS-Word 2016, em português e em sua configuração padrão, o usuário digitou o seguinte parágrafo:
O pagamento da primeira parcela será no valor de R$ 5.800,00 (cinco mil e oitocentos reais).
Posteriormente, foi necessário que a palavra “primeira” desse parágrafo fosse apresentada da seguinte forma:
primeira
Uma forma de se conseguir esse resultado é selecionar a palavra “primeira” e, posteriormente, aplicar-lhe o efeito de fonte denominado
Provas
Uma medida que aumenta a segurança do acesso por SSH em um servidor Linux consiste em
Provas
Dentre as alternativas a seguir, assinale aquela que NÃO corresponde a uma possibilidade oferecida por VPNs (Virtual Private Networks).
Provas
A respeito de VPNs (Virtual Private Networks) do tipo site-to-site, assinale a alternativa correta.
Provas
O protocolo HTTPS é uma extensão do protocolo HTTP com uma camada de segurança para criptografar a comunicação. O protocolo que é utilizado juntamente com o HTTP responsável pela criptografia é o
Provas
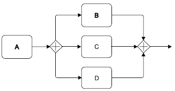
Considere o seguinte trecho de um processo de negócio em notação BPMN.

É correto afirmar que
Provas
- Gestão de ProcessosBPM: Gerenciamento de Processos de NegócioBPMN: Business Process Model and NotationBPMN: Artefatos e Anotações
- Gestão de ProcessosBPM: Gerenciamento de Processos de NegócioBPMN: Business Process Model and NotationBPMN: Conectores
Na notação BPMN, o elemento representado por uma linha pontilhada que pode ser encontrada entre um artefato e um objeto de fluxo é
Provas
No gerenciador de conteúdo Drupal, o modo de visualização de um node que é exibido em listas, incluindo na página home do site, é
Provas
Durante a execução de um shell script no bash, um comando pode ser utilizado neste script para apresentar mensagens no terminal para o usuário. O nome do comando é:
Provas
Um usuário criou um arquivo shell script e deseja configurá- lo de tal forma que apenas ele tenha as permissões de leitura, escrita e execução daquele arquivo. Utilizando o chmod, ele pode fazer isso com o comando:
Provas
Caderno Container