Foram encontradas 20.559 questões.
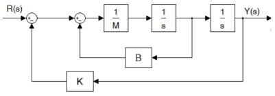
O diagrama de blocos ao lado representa o modelo de um sistema mecânico.

A função de transferência desse sistema é
Provas
Questão presente nas seguintes provas
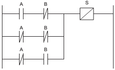
Considere o diagrama abaixo.

A função lógica da saída S em relação às entradas A e B que é desempenhada pelo sistema quando inserido em um processo de automação industrial controlado por CLP é:

A função lógica da saída S em relação às entradas A e B que é desempenhada pelo sistema quando inserido em um processo de automação industrial controlado por CLP é:
Provas
Questão presente nas seguintes provas
Considere a figura abaixo.

Trata-se de uma antena tipo

Trata-se de uma antena tipo
Provas
Questão presente nas seguintes provas
Atenção: Para responder à questão, considere as figuras abaixo onde V1 = V2 = 220 VRMS e despreze as tensões VQ1 e VQ2.

Para o ângulo de disparo α = 60º, a tensão média na carga é, em V, aproximadamente,

Para o ângulo de disparo α = 60º, a tensão média na carga é, em V, aproximadamente,
Provas
Questão presente nas seguintes provas
Atenção: Para responder à questão, considere as figuras abaixo onde V1 = V2 = 220 VRMS e despreze as
tensões VQ1 e VQ2.

Para que a tensão média na carga seja máxima, o ângulo de disparo dos dois SCRs deve ser, em rad, igual a

Para que a tensão média na carga seja máxima, o ângulo de disparo dos dois SCRs deve ser, em rad, igual a
Provas
Questão presente nas seguintes provas
- Amplificadores em Eletrônica
- Eletrônica Analógica na Engenharia Eletrônica
- Eletrônica de Potência na Engenharia Eletrônica
- Filtros
- Filtros Passivos
- Tiristor
O bloco eletrônico que tem como base de funcionamento o dispositivo SCR é o
Provas
Questão presente nas seguintes provas
O tipo de modulação em portadora senoidal por informação digital é
Provas
Questão presente nas seguintes provas
Os sinais de um transmissor binário centrado na 3ª janela óptica, com potência de pico de 10 mW são transmitidos por uma fibra
óptica de comprimento de 95 km e αf = 0,2 dB/Km. Considere ainda as perdas de potência nos conectores entre o transmissor e
a fibra (αt = 0,5 dB) e entre a fibra e o receptor (αr = 0,5 dB).
A potência recebida no receptor em dBm é
A potência recebida no receptor em dBm é
Provas
Questão presente nas seguintes provas
Sobre a transformada “z”, afirma-se que é aplicável no caso
Provas
Questão presente nas seguintes provas
O diagrama de blocos a seguir mostra uma fonte regulada linear. Assim sendo, qual a sequência CORRETA dos blocos?

Figura 12
Provas
Questão presente nas seguintes provas
Cadernos
Caderno Container