Foram encontradas 20.456 questões.

Provas
Questão presente nas seguintes provas
Acerca de circuitos lógicos, julgue os itens a seguir.
Se uma porta lógica possuir fator de carga igual a oito, suportará em sua entrada, sem sofrer danos, uma tensão de até oito vezes o valor da tensão de nível lógico
Se uma porta lógica possuir fator de carga igual a oito, suportará em sua entrada, sem sofrer danos, uma tensão de até oito vezes o valor da tensão de nível lógico
Provas
Questão presente nas seguintes provas
Acerca de processamento de sinais, julgue os itens que se seguem.
Um sinal de áudio é classificado como unidimensional, pois apresenta somente uma variável independente.
Um sinal de áudio é classificado como unidimensional, pois apresenta somente uma variável independente.
Provas
Questão presente nas seguintes provas
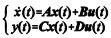
Um sistema linear, invariante no tempo contínuo, sem memória em t = 0, é definido pela equação diferencial
e pode ser representado no espaço de estados pelas seguintes equações matriciais:
Com base nessas informações, julgue os itens subsecutivos.
A forma canônica controlável da matriz A é dada por

Com base nessas informações, julgue os itens subsecutivos.
A forma canônica controlável da matriz A é dada por

Provas
Questão presente nas seguintes provas

A função de transferência G(s) apresenta dois polos complexos: – i e + i.
Provas
Questão presente nas seguintes provas

O sistema representado pela função de transferência G(s) é de segunda ordem.
Provas
Questão presente nas seguintes provas

O sistema representado pela função G(s) é estável.
Provas
Questão presente nas seguintes provas
- Álgebra Booleana e Circuitos Lógicos
- Conversores Analógicos Digitais (AD) e Digitais Analógicos (DAC)
- Eletrônica Digital na Engenharia Eletrônica

Caso o referido codificador seja implementado usando apenas lógica combinacional, adotando-se a relação sinal-ruído de quantização como fator de comparação e mantendo-se as mesmas características do sinal de entrada, ele será mais rápido que um conversor A/D equivalente embasado em aproximações sucessivas.
Provas
Questão presente nas seguintes provas

Assumindo que a saída B2 seja o bit mais significativo, um sinal Ve de amplitude 7 V resultará em uma saída representada pelo número 4 no sistema octal.
Provas
Questão presente nas seguintes provas

O mencionado codificador consumirá menos energia se for construído com componentes CMOS que se construído com componentes de lógica TTL.
Provas
Questão presente nas seguintes provas
Cadernos
Caderno Container