Foram encontradas 13.241 questões.
O processo de desidratação do gás natural (GN) pode ser realizado
através de absorção utilizando uma solução de glicol que, por
aquecimento, é regenerada e retorna ao processo. Sobre este
sistema, assinale a opção incorreta.
Provas
Questão presente nas seguintes provas
Em uma usina de cana-de-açúcar, o vinho, resultado do processo
de fermentação do mosto, é alimentado em uma torre de
destilação para se obter o etanol hidratado.
Considerando que esta coluna possui uma alimentação de 200.000 kg/h, sendo 13% de etanol e 87% de água, e que o produto de topo possui uma vazão de 20.000 kg/h (98% de etanol e 2% de água), assinale a opção que apresenta a fração mássica (Χ) dos componentes do resíduo.
Considerando que esta coluna possui uma alimentação de 200.000 kg/h, sendo 13% de etanol e 87% de água, e que o produto de topo possui uma vazão de 20.000 kg/h (98% de etanol e 2% de água), assinale a opção que apresenta a fração mássica (Χ) dos componentes do resíduo.
Provas
Questão presente nas seguintes provas
A tabela abaixo mostra os oito primeiros potenciais de ionização
de dois elementos do 3º período da tabela periódica, X e Y.
A fórmula resultante da combinação dos elementos e sua identificação é
A fórmula resultante da combinação dos elementos e sua identificação é
Provas
Questão presente nas seguintes provas
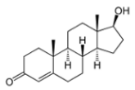
O colesterol é precursor bioquímico de alguns hormônios como a
testosterona, a progesterona, o cortisol e o estradiol. Desses, o
estradiol é o responsável pelo desenvolvimento sexual e preparo
do útero para gravidez e é o único dos compostos mencionados
que apresenta o grupamento fenólico.
Sendo assim, a estrutura do estradiol está representada pela opção:
Sendo assim, a estrutura do estradiol está representada pela opção:
Provas
Questão presente nas seguintes provas
O pimentão vermelho deve a sua coloração principalmente à
presença de carotenos (como o licopeno) carotenóides oxigenados
(como a alfa-criptoxantina) e polioxigenados (capsantina) cujas
estruturas estão representadas a seguir.
Um estudante fez uma cromatografia em papel com uma gota de extrato de pimentão vermelho onde esses três componentes estavam presentes. Considerando a estrutura da celulose (fase estacionária indicada na figura abaixo), e um eluente predominantemente apolar, observa-se que:

Um estudante fez uma cromatografia em papel com uma gota de extrato de pimentão vermelho onde esses três componentes estavam presentes. Considerando a estrutura da celulose (fase estacionária indicada na figura abaixo), e um eluente predominantemente apolar, observa-se que:

Provas
Questão presente nas seguintes provas
Com base na Norma CNEM NN 3.0 (de março de 2014), no que
tange a regulamentação da água potável, a estimativa da dose
efetiva ingerida é realizada através de uma equação com os
seguintes parâmetros:
Ding- dose efetiva anual devido à ingestão de água (Sv . ano-1 )
TIágua - taxa de ingestão anual de água por indivíduo do público (L . ano-1 )
Cj água - concentração de atividade de radionuclídeo j na água potável (Bq . L-1 )
FCDj ing - fator de conversão de dose para ingestão de radionuclídeo j (Sv/Bq)
A equação que relaciona de forma correta esses parâmetros de acordo com a norma é
Ding- dose efetiva anual devido à ingestão de água (Sv . ano-1 )
TIágua - taxa de ingestão anual de água por indivíduo do público (L . ano-1 )
Cj água - concentração de atividade de radionuclídeo j na água potável (Bq . L-1 )
FCDj ing - fator de conversão de dose para ingestão de radionuclídeo j (Sv/Bq)
A equação que relaciona de forma correta esses parâmetros de acordo com a norma é
Provas
Questão presente nas seguintes provas
Sobre análise de efluentes, assinale a opção que relaciona
corretamente parâmetros e propósito técnico.
Provas
Questão presente nas seguintes provas
Em espectrômetros de absorção atômica, a lâmpada de cátodo
oco emite radiação
Provas
Questão presente nas seguintes provas
A ideia de átomo ganhou força empírica a partir do século XIX.
Relacione a fundamentação que deu suporte ao modelo atômico
com os detalhes da estrutura atômica proposta.
( ) Raios catódicos interpretados como um feixe de partículas carregadas negativamente.
( ) Radioatividade embasando experimentos de bombardeamento de materiais com partículas alfa.
( ) Espectroscópio como principal ferramenta de análise da luz emitida na queima de amostras.
( ) Tratamento matemático sofisticado que considera o elétron como uma função de onda (Ψ)
1. Ideia de orbital, espaço de probabilidade máxima de encontrar o elétron.
2. O átomo como fluido homogêneo, esférico e de carga positiva, no qual estão dispersos uniformemente partículas menores negativas.
3. O átomo é constituído por um núcleo central positivo, muito pequeno em relação ao tamanho do átomo.
4. Os elétrons movimentam-se em torno do núcleo central positivo em órbitas específicas com níveis energéticos bem definidos.
Assinale a opção que apresenta a associação correta entre a fundamentação e os detalhes do modelo correspondente.
( ) Raios catódicos interpretados como um feixe de partículas carregadas negativamente.
( ) Radioatividade embasando experimentos de bombardeamento de materiais com partículas alfa.
( ) Espectroscópio como principal ferramenta de análise da luz emitida na queima de amostras.
( ) Tratamento matemático sofisticado que considera o elétron como uma função de onda (Ψ)
1. Ideia de orbital, espaço de probabilidade máxima de encontrar o elétron.
2. O átomo como fluido homogêneo, esférico e de carga positiva, no qual estão dispersos uniformemente partículas menores negativas.
3. O átomo é constituído por um núcleo central positivo, muito pequeno em relação ao tamanho do átomo.
4. Os elétrons movimentam-se em torno do núcleo central positivo em órbitas específicas com níveis energéticos bem definidos.
Assinale a opção que apresenta a associação correta entre a fundamentação e os detalhes do modelo correspondente.
Provas
Questão presente nas seguintes provas
O polipropileno (PP) é amplamente reciclado, porém suas
propriedades mecânicas podem se degradar após múltiplos ciclos
de reprocessamento.
Assinale a opção que apresenta o fenômeno que explica mais adequadamente essa redução de desempenho.
Assinale a opção que apresenta o fenômeno que explica mais adequadamente essa redução de desempenho.
Provas
Questão presente nas seguintes provas
Cadernos
Caderno Container