Foram encontradas 6.276 questões.
A detecção dos canais "direito (D)" e "esquerdo (E)" de uma rádio FM com transmissão estereofônica é feita após o discriminador ou detector de relação de um receptor. Após o discriminador existem três filtros. Um filtro passa-faixa com corte em 15 kHz que separa, de todo o sinal detectado, o sinal D+E, um filtro passa-faixa que separa o piloto e um filtro passa-faixa, de 23 kHz a 53 kHz, que separa a faixa que contém os sinais D-E. A detecção dos sinais D-E é feita, após este filtro, através de:
Provas
Questão presente nas seguintes provas
A banda para transmissão de sinais modulados em freqüência (FM) é infinita. É adotada uma aproximação, conhecida por regra de Carson, para o cálculo da banda necessária. De acordo com esta regra, uma transmissora de FM que transmite um sinal modulador de freqüência máxima de 53 kHz, e com desvio de pico de freqüência de 75 kHz, ocupa uma banda de aproximadamente:
Provas
Questão presente nas seguintes provas
Em um enlace de rádio em uma freqüência de 2 GHz, as estações A e B distam 20 km e a potência do transmissor é de 1 Watt. São usadas antenas, tanto em A quanto em B, de ganho igual a 20 dB e as perdas totais nos dispositivos passivos de alimentação das antenas de A e B totalizam 10dB. Considerando-se a aproximação log 10 2 = 0,3, o nível de sinal na entrada do receptor será aproximadamente de:
Provas
Questão presente nas seguintes provas
Em relação aos satélites geo-estacionários, observe as afirmativas a seguir:

Assinale o item que relaciona todas as afirmações totalmente corretas:
Provas
Questão presente nas seguintes provas
A transmissão do sinal de crominância em um sistema de TV analógico PAL, padrão M, é feita basicamente:
Provas
Questão presente nas seguintes provas
Em transmissão de sinais por rádio, usamos um parâmetro muito conhecido, designado pela sigla EIRP (potência efetiva isotropicamente irradiada). Este parâmetro se refere:
Provas
Questão presente nas seguintes provas
A hierarquia PDH (Hierarquia Digital Plesiócrona) tem seu nome derivado do grego, significando ser uma hierarquia de transmissão de dados "quase síncrona", tanto assim que a taxa do tributário E2, da hierarquia européia, não é um múltiplo exato da taxa do tributário E1. Para obtermos a taxa de E2 devemos multiplicar a taxa de:
Provas
Questão presente nas seguintes provas

Provas
Questão presente nas seguintes provas
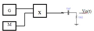
No diagrama em blocos a seguir "X" é um multiplicador ideal de quatro quadrantes de sinais e a reatância do capacitor é desprezível em relação à resistência do resistor.


Provas
Questão presente nas seguintes provas
Nas centrais telefônicas digitais, a Modulação por Codificação de Pulsos (PCM) é realizada por circuitos integrados conhecidos por CODEC (Codificadores/Decodificadores). Um codificador para a conversão do sinal analógico em PCM de hierarquia européia deve conter:
Provas
Questão presente nas seguintes provas
Cadernos
Caderno Container