Foram encontradas 6.567 questões.

Internet: <www.estwindconsulting.com> (com adaptações).
Considerando a figura acima, que apresenta um diagrama relacionado com gerenciamento de projetos, julgue o item seguinte.
A elaboração e assinatura de um documento formal que reconhece a existência de um projeto deve ser efetuada antes da compilação do plano desse projeto.
Provas

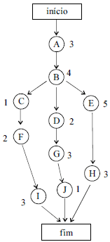
Considere que uma empresa deva executar uma obra para montagem de um conjunto de oleodutos para interligar uma refinaria a um centro de consumo. Considere ainda que a empresa tenha apresentado a lista de atividades a serem executadas na forma de PERT/CPM, conforme mostra a figura ao lado. Nessa figura, dentro de cada círculo, a letra indica a atividade, enquanto o número ao lado representa a duração da atividade em número de dias. Com base na rede PERT/CPM apresentada, julgue o item a seguir.
Caso a realização da atividade C atrase, a conclusão da montagem sofrerá atraso também, já que essa atividade constitui uma atividade gargalo.
Provas

A figura acima apresenta o conjunto das disciplinas de gerência do projeto propostas no âmbito do modelo PMBOK. Nesse modelo, a cada disciplina são associados conjuntos de processos de trabalho, informações e artefatos de entrada e saída, além de técnicas e métodos específicos de cada disciplina. Considerando essas informações, julgue o item a seguir, acerca das possibilidades de execução de um projeto hipotético.
A análise de não-conformidades de produto, que consiste em atividade realizada na disciplina #8, pode ser suportada por diagramas de Ishikawa.
Provas

Internet: <www.estwindconsulting.com> (com adaptações).
Considerando a figura acima, que apresenta um diagrama relacionado com gerenciamento de projetos, julgue o item seguinte.
Por meio do diagrama da figura, descreve-se adequadamente um método de iniciação de execução de projeto.
Provas

Considere que uma empresa deva executar uma obra para montagem de um conjunto de oleodutos para interligar uma refinaria a um centro de consumo. Considere ainda que a empresa tenha apresentado a lista de atividades a serem executadas na forma de PERT/CPM, conforme mostra a figura ao lado. Nessa figura, dentro de cada círculo, a letra indica a atividade, enquanto o número ao lado representa a duração da atividade em número de dias. Com base na rede PERT/CPM apresentada, julgue o item a seguir.
O caminho crítico da rede é o descrito por início-A-B-D-G-J-fim.
Provas

A figura acima apresenta o conjunto das disciplinas de gerência do projeto propostas no âmbito do modelo PMBOK. Nesse modelo, a cada disciplina são associados conjuntos de processos de trabalho, informações e artefatos de entrada e saída, além de técnicas e métodos específicos de cada disciplina. Considerando essas informações, julgue o item a seguir, acerca das possibilidades de execução de um projeto hipotético.
A análise quantitativa de riscos é, em geral, mais facilmente implantada que a análise qualitativa de riscos, e, por isso, propõe-se que a primeira seja realizada antes da segunda.
Provas

A figura acima apresenta o conjunto das disciplinas de gerência do projeto propostas no âmbito do modelo PMBOK. Nesse modelo, a cada disciplina são associados conjuntos de processos de trabalho, informações e artefatos de entrada e saída, além de técnicas e métodos específicos de cada disciplina. Considerando essas informações, julgue o item a seguir, acerca das possibilidades de execução de um projeto hipotético.
O controle de riscos do projeto é atividade ou processo que se sobrepõe temporalmente ao desenvolvimento do plano de projeto, sendo ambas as atividades realizadas em fases distintas do ciclo de vida de gerenciamento do projeto.
Provas

Internet: <www.estwindconsulting.com> (com adaptações).
Considerando a figura acima, que apresenta um diagrama relacionado com gerenciamento de projetos, julgue o item seguinte.
De acordo com o diagrama, a estimativa de um fluxo de recursos financeiros do projeto deve ser elaborada após a estimativa de alocação de recursos necessários à execução das tarefas.
Provas

A figura acima apresenta o conjunto das disciplinas de gerência do projeto propostas no âmbito do modelo PMBOK. Nesse modelo, a cada disciplina são associados conjuntos de processos de trabalho, informações e artefatos de entrada e saída, além de técnicas e métodos específicos de cada disciplina. Considerando essas informações, julgue o item a seguir, acerca das possibilidades de execução de um projeto hipotético.
A contratação de seguro para o caso de perda ou roubo de equipamentos usados para a realização do projeto é caracterizada como uma técnica de eliminação de riscos.
Provas

A figura acima apresenta o conjunto das disciplinas de gerência do projeto propostas no âmbito do modelo PMBOK. Nesse modelo, a cada disciplina são associados conjuntos de processos de trabalho, informações e artefatos de entrada e saída, além de técnicas e métodos específicos de cada disciplina. Considerando essas informações, julgue o item a seguir, acerca das possibilidades de execução de um projeto hipotético.
A verificação do escopo do projeto, por ser um processo de inspeção e aceite formal, é uma atividade da disciplina de gerência da qualidade.
Provas
Caderno Container