Foram encontradas 137.648 questões.
Uma urna contém 30 bolas idênticas, ou seja, todas têm o mesmo tamanho, forma e
material, diferenciando-se apenas pelos números de 1 a 30 que estão escritos nelas. Uma
dessas bolas é sorteada ao acaso. Qual é a probabilidade de o número sorteado ser um
múltiplo de 6 ou um divisor de 30?
Provas
Questão presente nas seguintes provas
Em uma urna, foram colocadas 5 bolas amarelas, 8 bolas pretas e 6 bolas azuis, todas idênticas, exceto pela cor. Duas bolas são sorteadas ao acaso, uma
após a outra, sem reposição. Sabendo que a primeira bola sorteada não é amarela, qual é a probabilidade de a segunda bola ser preta?
Provas
Questão presente nas seguintes provas
Em uma loja, durante uma promoção de liquidação, um produto teve seu preço reduzido em 20%. Depois, com um cupom de desconto adicional, foi
aplicado 15% de desconto sobre o preço já com o desconto de 20%. No final, o valor a ser pago pelo cliente foi de 204 reais. Qual era o preço original do
produto antes de qualquer desconto?
Provas
Questão presente nas seguintes provas
Uma construtora contratou 6 operários para realizar uma obra, que seria concluída em 12 dias de trabalho. A equipe trabalhou com o número
completo de operários nos dois primeiros dias, mas, a partir do terceiro dia, a equipe foi reduzida para 5 operários até o término da obra. Sabendo que
todos os operários têm o mesmo ritmo de trabalho, qual será o tempo total de duração da obra?
Provas
Questão presente nas seguintes provas
Em uma loja, o preço de 2 lapiseiras e 1 borracha é 12 reais, e o preço de 4 lapiseiras e 3 borrachas é 29 reais. Sabendo que todas as lapiseiras têm o mesmo preço e todas as
borrachas têm o mesmo preço, qual é a diferença de preço entre uma borracha e uma
lapiseira?
Provas
Questão presente nas seguintes provas
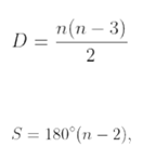
Em um polígono convexo, a quantidade de diagonais D e a soma dos ângulos internos S
podem ser calculas pelas seguintes fórmulas:
onde n é o número de lados do polígono.
Sabe-se também que um polígono convexo é regular quando todos os seus lados e ângulos internos são congruentes. Sabendo disso, assinale a alternativa que contém a informação CORRETA sobre um polígono regular.
onde n é o número de lados do polígono.
Sabe-se também que um polígono convexo é regular quando todos os seus lados e ângulos internos são congruentes. Sabendo disso, assinale a alternativa que contém a informação CORRETA sobre um polígono regular.
Provas
Questão presente nas seguintes provas
Em um jogo de caça-níqueis, o rolo tem três posições, e cada uma pode ser preenchida com
uma das seguintes frutas: limão, cereja ou maçã. Ou seja, em cada uma das posições o
jogador pode obter uma das três frutas.
No exemplo da figura, a última fruta ainda está sendo sorteada.
De todas as combinações possíveis, em qual percentual as três frutas serão iguais (ou seja, todas as frutas nas três posições serão a mesma)?
No exemplo da figura, a última fruta ainda está sendo sorteada.
De todas as combinações possíveis, em qual percentual as três frutas serão iguais (ou seja, todas as frutas nas três posições serão a mesma)?
Provas
Questão presente nas seguintes provas
O texto seguinte servirá de base para responder à questão.
Divisibilidade
Considere dois números inteiros positivos a e b. Dizemos que a é divisível por b quando a divisão de a por b resulta em um quociente inteiro, ou seja, quando o resto dessa divisão é igual a zero.
Em termos matemáticos, escrevemos isso como a ÷ b = q, onde q é um número inteiro e o resto é zero.
Por exemplo:
• O número 15 é divisível por 5 porque 15 ÷ 5 = 3 e o resto é zero.
•Da mesma forma, 15 também é divisível por 3, já que 15 ÷ 3 = 5 e novamente o resto é zero.
No entanto, se tentarmos dividir 15 unidades igualmente entre 2 pessoas, cada pessoa receberá 7, e sobrará uma unidade. Isso acontece porque a divisão tem resto 1, o que significa que 15 não é divisível por 2.
Assim, concluímos que:
• 15 é divisível por 5 e por 3, mas não é divisível por 2.
Considere as seguintes afirmações sobre divisibilidade:
-Se um número é divisível por 4, então ele também é divisível por 2.
-Um número n é divisível por 12 se, e somente se, n é divisível por 4 e por 3.
-Se n é divisível por 6, então n é divisível por 3.
Com base nessas informações, analise as proposições e assinale a alternativa CORRETA.
Divisibilidade
Considere dois números inteiros positivos a e b. Dizemos que a é divisível por b quando a divisão de a por b resulta em um quociente inteiro, ou seja, quando o resto dessa divisão é igual a zero.
Em termos matemáticos, escrevemos isso como a ÷ b = q, onde q é um número inteiro e o resto é zero.
Por exemplo:
• O número 15 é divisível por 5 porque 15 ÷ 5 = 3 e o resto é zero.
•Da mesma forma, 15 também é divisível por 3, já que 15 ÷ 3 = 5 e novamente o resto é zero.
No entanto, se tentarmos dividir 15 unidades igualmente entre 2 pessoas, cada pessoa receberá 7, e sobrará uma unidade. Isso acontece porque a divisão tem resto 1, o que significa que 15 não é divisível por 2.
Assim, concluímos que:
• 15 é divisível por 5 e por 3, mas não é divisível por 2.
Considere as seguintes afirmações sobre divisibilidade:
-Se um número é divisível por 4, então ele também é divisível por 2.
-Um número n é divisível por 12 se, e somente se, n é divisível por 4 e por 3.
-Se n é divisível por 6, então n é divisível por 3.
Com base nessas informações, analise as proposições e assinale a alternativa CORRETA.
Provas
Questão presente nas seguintes provas
3673835
Ano: 2025
Disciplina: Matemática
Banca: FAU-UNICENTRO
Orgão: Pref. Porto Amazonas-PR
Disciplina: Matemática
Banca: FAU-UNICENTRO
Orgão: Pref. Porto Amazonas-PR
Provas:
Uma piscina retangular possui as seguintes dimensões:
| Comprimento | 10,00 metros |
| Largura | 3,00 metros |
| Profundidade | 1,70 metros |
Esta piscina possui uma escada dentro dela que ocupa 3/20 avos de seu volume. Considerando estas informações, o volume em litros de água desta piscina é igual a:
Provas
Questão presente nas seguintes provas
3673834
Ano: 2025
Disciplina: Matemática
Banca: FAU-UNICENTRO
Orgão: Pref. Porto Amazonas-PR
Disciplina: Matemática
Banca: FAU-UNICENTRO
Orgão: Pref. Porto Amazonas-PR
Provas:
Um produtor de café, sabe que o café verde no processo de secagem dos grãos tem
uma redução de peso de 20%. Se este produtor secou 15 toneladas de café verde e
embalou para venda em pacotes de 250 gramas, a quantidade de pacotes que possui para
vender é igual a:
Provas
Questão presente nas seguintes provas
Cadernos
Caderno Container