Foram encontradas 36.142 questões.
Provas
Referente a esse risco de acidente, no frasco desse solvente havia um pictograma de perigo, que é representado por
Provas
A figura representa um evento natural.

(Imagem gerada por IA. Adaptada)
O evento representado faz parte de um ciclo natural que, por meio de atividades vulcânicas, traz à superfície e libera na atmosfera grande quantidade de uma substância importante e essencial à vida.
Trata-se do ciclo biogeoquímico
Provas
O quadro apresenta três pares (I, II e III) de substâncias.

Para cada par apresentado no quadro, a substância que apresenta o maior ponto de ebulição é:
Provas
Provas
(Acervo pessoal; imagem usada com autorização)
Em cada um dos cilindros existem 9,6 kg do respectivo gás. Sabe-se que o cilindro com o gás 1 contém 1,2 × 1026 moléculas, e que o cilindro com o gás 2 contém 1,8 × 1026 moléculas.
Considerando a constante de Avogadro igual a 6,0 × 1023 mol–1 , os gases 1, 2 e 3 são, respectivamente,
Provas
A etapa do processo que resulta no alumínio metálico é:
Provas
O fósforo-32 é um radioisótopo empregado em radioterapia para tratamento do câncer. Ele é obtido em reator nuclear ou em aceleradores de partículas a partir do precursor enxofre-32. A reação nuclear da sua obtenção é representada por:
\(^{32}_{16}S + x \rightarrow ^{32}_{15}P + y\)
Na reação nuclear de obtenção do fósforo-32, x e y são, correta e respectivamente,
Provas
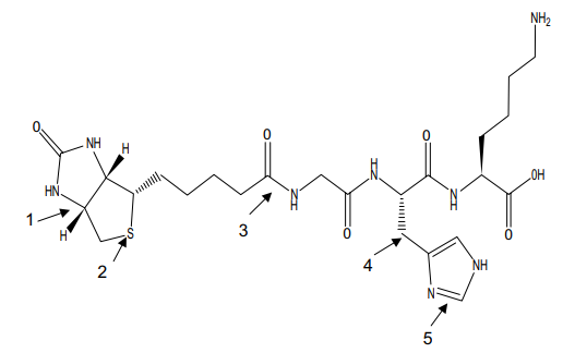
A figura representa a estrutura primária da fração de uma proteína.

A ligação peptídica é indicada pela seta de número
Provas
Esse composto apresenta um grupo funcional característico da função orgânica
Provas
Caderno Container