Foram encontradas 35.922 questões.
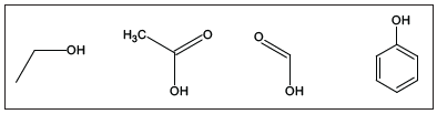
Os possíveis catalisadores de uma esterificação estão indicados a seguir:

Em uma reação de esterificação, o pKa do catalisador é um fator muito importante para o melhor rendimento do produto de interesse. Dentre os compostos apresentados, a ordem crescente de pKa é:
Provas
A eletrólise é uma técnica largamente utilizada na indústria química para a obtenção de materiais de alto interesse econômico, como a soda cáustica. Na obtenção dessa base forte, uma corrente elétrica atravessa a cuba eletrolítica que contém uma solução aquosa de cloreto de sódio produzindo no cátodo e no ânodo, respectivamente:
Provas
O paracetamol, um dos medicamentos mais usados no mundo, pode ser sintetizado a partir da acetilação da amina do p-aminofenol com anidrido acético conforme a reação química abaixo:

Sabendo que o rendimento dessa síntese é de 65%, o número de mols de paracetamol obtido a partir de 2,18 toneladas de p-aminofenol em excesso de anidrido acético é: (Dados: p-aminofenol = 109 g/mol; paracetamol = 151 g/mol)
Provas
Com a COVID-19, o álcool gel ganhou destaque após a recomendação da OMS, Organização Mundial de Saúde, para o seu uso. Ele é formado pelo álcool etílico a 70 %, possuindo textura em gel para fricção antisséptica das mãos. O etanol a ser utilizado como insumo deve ter o seu grau alcoólico medido a 15 ºC, conforme determinação da Farmacopeia Brasileira. Para realizar tal medição, utiliza-se um(a):
Provas
Todo material que pode ser queimado para liberar energia térmica é chamado de combustível. A relação ar combustível teórica (estequiométrica) para a combustão do octano C8H18 (gasolina) em base mássica será: (Dados: PM: O=16; C=12; N= 14 ;H=1)
Provas
Há dois frascos contendo uma mistura de água e metanol, sendo que a primeira mistura possui 30% em massa de metanol, enquanto a segunda mistura contém 60% em massa de metanol. Se 400g da primeira mistura são misturados com 300g da segunda mistura num terceiro frasco, a fração mássica do metanol e da água no terceiro frasco será, respectivamente:
Provas
Durante um teste de laboratório, 1,0 g de cobre comercial foi “dissolvido” em ácido nítrico, conforme reação a seguir: Cu + HNO3 → Cu(NO3)2 + H2O + NO. A solução resultante foi, então, eletrolisada até deposição total do cobre, utilizando uma corrente elétrica de 4,0 A durante 5 min. Não obstante, foi observado que apenas 90% da corrente foi efetivamente utilizada no processo. A pureza desse cobre comercial é: (Dados de P.M de Cu: 63,5; N:14; O:16; H:1 e constante de Faraday 96500 Cmol-1)
Provas
Na estrada, um caminhão carregando ácido sulfúrico bate com outro caminhão e, no acidente, 3 derramam-se 10 m de ácido concentrado (pureza de 3 97% em massa de H2SO4 e densidade de 1,83 g/cm ). Para neutralizar o ácido que foi derramado, pode-se, por exemplo, lançar na área atingida um minério rico em carbonato de cálcio (CaCO3), como o calcário. A equação química que representa a neutralização do H2SO4 por CaCO3, é:
H2SO4 + CaCO3 → CaSO4 + H2O + CO2
Sabendo que cada caminhão é capaz de transportar até 7,1 toneladas de calcário e que o calcário tem 85% de CaCO3, a quantidade aproximada de caminhões necessária para carregar o material neutralizante é: (Dados de P.M de S:32; Ca:40; C:12; O:16, H:1)
Provas
A inativação de micro-organismos patogênicos presentes na água é realizada por meio da utilização de substâncias conhecidas como desinfetantes. Os processos químicos de desinfecção da água podem ser realizados por meio da adição de cloro, - produzindo os elementos HOCl e OCl , conhecidos respectivamente como:
Provas
Dentre as propriedades da água, destaca-se a tensão superficial caracterizada por uma camada interfacial micrométrica que separa o meio líquido e o meio atmosférico. São condições que diminuem a tensão superficial da água:
Provas
Caderno Container