Foram encontradas 1.069 questões.
Uma seguradora prevê, no ano de 2008, como valor
esperado de sinistros produzidos em uma de suas carteiras, o
montante de R$ 600.000,00. O número de riscos que produz esse
montante de sinistros perfaz 2.000 apólices com início de
vigência em 1.º/7/2007 e mais 500 apólices, com início de
vigência em 1.º/7/2008, tendo, ambos os grupos de apólices,
vigência anual. A importância segurada de cada apólice é fixada
em R$ 20.000,00, e a seguradora adota a margem de segurança
de 5% e, como carregamento de despesas, 20% do prêmio
comercial.
Com base nessas informações, julgue os itens subseqüentes,
referentes à situação apresentada.
O número de riscos expostos no ano de 2008 corresponde a 1.250.esperado de sinistros produzidos em uma de suas carteiras, o
montante de R$ 600.000,00. O número de riscos que produz esse
montante de sinistros perfaz 2.000 apólices com início de
vigência em 1.º/7/2007 e mais 500 apólices, com início de
vigência em 1.º/7/2008, tendo, ambos os grupos de apólices,
vigência anual. A importância segurada de cada apólice é fixada
em R$ 20.000,00, e a seguradora adota a margem de segurança
de 5% e, como carregamento de despesas, 20% do prêmio
comercial.
Com base nessas informações, julgue os itens subseqüentes,
referentes à situação apresentada.
Provas
Questão presente nas seguintes provas
Regimes financeiros são formas utilizadas para comandar o
ingresso das contribuições necessárias à cobertura das despesas
com o pagamento de benefícios e administração em um plano de
benefícios previdenciários. Relativamente aos regimes financeiros
e métodos de financiamento em planos previdenciários, julgue os
itens subseqüentes.
O cálculo atuarial desenvolvido segundo o regime financeiro de capitalização pressupõe a escolha quanto ao método de financiamento que será observado para a definição das contribuições a serem vertidas para o plano de benefícios previdenciários ao longo do tempo. No caso do método de financiamento por idade normal de entrada, é pressuposta uma idade inicial de entrada no plano previdenciário, a partir da qual é calculado atuarialmente o custo individual de maneira crescente ao longo do período laborativo.ingresso das contribuições necessárias à cobertura das despesas
com o pagamento de benefícios e administração em um plano de
benefícios previdenciários. Relativamente aos regimes financeiros
e métodos de financiamento em planos previdenciários, julgue os
itens subseqüentes.
Provas
Questão presente nas seguintes provas
Uma seguradora prevê, no ano de 2008, como valor
esperado de sinistros produzidos em uma de suas carteiras, o
montante de R$ 600.000,00. O número de riscos que produz esse
montante de sinistros perfaz 2.000 apólices com início de
vigência em 1.º/7/2007 e mais 500 apólices, com início de
vigência em 1.º/7/2008, tendo, ambos os grupos de apólices,
vigência anual. A importância segurada de cada apólice é fixada
em R$ 20.000,00, e a seguradora adota a margem de segurança
de 5% e, como carregamento de despesas, 20% do prêmio
comercial.
Com base nessas informações, julgue os itens subseqüentes,
referentes à situação apresentada.
A taxa de risco anual e a taxa pura anual correspondem, respectivamente, a 2,40% e 2,55%.esperado de sinistros produzidos em uma de suas carteiras, o
montante de R$ 600.000,00. O número de riscos que produz esse
montante de sinistros perfaz 2.000 apólices com início de
vigência em 1.º/7/2007 e mais 500 apólices, com início de
vigência em 1.º/7/2008, tendo, ambos os grupos de apólices,
vigência anual. A importância segurada de cada apólice é fixada
em R$ 20.000,00, e a seguradora adota a margem de segurança
de 5% e, como carregamento de despesas, 20% do prêmio
comercial.
Com base nessas informações, julgue os itens subseqüentes,
referentes à situação apresentada.
Provas
Questão presente nas seguintes provas
Assinale a opção correta.
Pela RDC 77/2000 da ANS, a Provisão de Risco deve ser calculada, segundo: Obs.: não considerar a RN n. 160/2007.
Pela RDC 77/2000 da ANS, a Provisão de Risco deve ser calculada, segundo: Obs.: não considerar a RN n. 160/2007.
Provas
Questão presente nas seguintes provas
Assinale a opção correta.
No cálculo das contraprestações pecuniárias elaborado para os Planos de Assistência à Saúde, conforme determina a versão atual (dezembro/2007) da RDC 28 da ANS, deve ser observado que
No cálculo das contraprestações pecuniárias elaborado para os Planos de Assistência à Saúde, conforme determina a versão atual (dezembro/2007) da RDC 28 da ANS, deve ser observado que
Provas
Questão presente nas seguintes provas
Assinale a opção correta.
Quanto à forma de contratação, os Planos de Assistência à Saúde podem ser classificados em:
Quanto à forma de contratação, os Planos de Assistência à Saúde podem ser classificados em:
Provas
Questão presente nas seguintes provas
Indicando por V a assertiva verdadeira e por F a assertiva falsa e considerando as três sentenças abaixo, assinale a opção correta.
Em um plano de aposentadoria, de uma entidade fechada de previdência complementar, estruturado no regime de BD:
I. quanto maior a taxa de juro atuarial, menor a contribuição.
II. quanto maior a rotatividade (turn over), menor a contribuição.
III. quanto maior o crescimento salarial, menor a contribuição.
Em um plano de aposentadoria, de uma entidade fechada de previdência complementar, estruturado no regime de BD:
I. quanto maior a taxa de juro atuarial, menor a contribuição.
II. quanto maior a rotatividade (turn over), menor a contribuição.
III. quanto maior o crescimento salarial, menor a contribuição.
Provas
Questão presente nas seguintes provas
Indicando por V a assertiva verdadeira e por F a assertiva falsa, considerando as três sentenças abaixo, assinale a opção correta.
Quanto aos valores garantidos, temos que:
I. o resgate pode ser oferecido em um plano estruturado no regime de repartição simples, desde que antes da concessão do benefício.
II. o prolongamento só pode ser oferecido enquanto houver fracionamento do prêmio e desde que haja reserva matemática.
III. o saldamento pode ser oferecido tanto durante o fracionamento quanto durante o período de benefício, e desde que haja reserva matemática.
Quanto aos valores garantidos, temos que:
I. o resgate pode ser oferecido em um plano estruturado no regime de repartição simples, desde que antes da concessão do benefício.
II. o prolongamento só pode ser oferecido enquanto houver fracionamento do prêmio e desde que haja reserva matemática.
III. o saldamento pode ser oferecido tanto durante o fracionamento quanto durante o período de benefício, e desde que haja reserva matemática.
Provas
Questão presente nas seguintes provas
Indicando por V a assertiva verdadeira e por F a assertiva falsa, considerando as três sentenças abaixo, assinale a opção correta.
Quanto ao cálculo das Reservas Matemáticas e dos Valores Garantidos, temos que:
I. observada a NTA - Nota Técnica Atuarial, o atuário pode calcular a Reserva Matemática tanto pelo método prospectivo quanto pelo retrospectivo, pois ambos conduzem ao mesmo montante.
II. o resgate deve ser menor que a Reserva Matemática, mas maior que o saldamento.
III. o saldamento deve ser menor que o prolongamento.
Quanto ao cálculo das Reservas Matemáticas e dos Valores Garantidos, temos que:
I. observada a NTA - Nota Técnica Atuarial, o atuário pode calcular a Reserva Matemática tanto pelo método prospectivo quanto pelo retrospectivo, pois ambos conduzem ao mesmo montante.
II. o resgate deve ser menor que a Reserva Matemática, mas maior que o saldamento.
III. o saldamento deve ser menor que o prolongamento.
Provas
Questão presente nas seguintes provas
Assinale a opção correta.
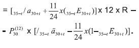
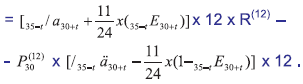
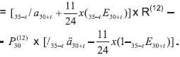
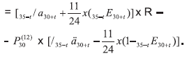
O benefício que pagará R$ 1.000,00, no final de cada mês, para a pessoa de 30 anos que atingir os 65 anos, com prêmio (ou contribuição) fracionado no início de cada mês, de forma imediata e durante o período de diferimento do benefício, pelo método prospectiva e antes de atingir a idade de direito ao benefício, terá a formulação da reserva matemática, segundo a metodologia de Woolhouse (tanto para o benefício quanto para o prêmio), dada por:
O benefício que pagará R$ 1.000,00, no final de cada mês, para a pessoa de 30 anos que atingir os 65 anos, com prêmio (ou contribuição) fracionado no início de cada mês, de forma imediata e durante o período de diferimento do benefício, pelo método prospectiva e antes de atingir a idade de direito ao benefício, terá a formulação da reserva matemática, segundo a metodologia de Woolhouse (tanto para o benefício quanto para o prêmio), dada por:
Provas
Questão presente nas seguintes provas
Cadernos
Caderno Container