Foram encontradas 1.069 questões.
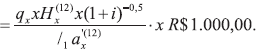
Para um Benefício de Pensão de R$ 1.000,00, que já esteja sendo recebido no fi nal de cada mês, 80% para o cônjuge e os outros 20% para o filho universitário, sem que haja contribuição futura, a reserva matemática correspondente será obtida por:
Atenção: observe que nas opções há "x" como operador matemático (donde a interpretação faz parte da questão).
Atenção: observe que nas opções há "x" como operador matemático (donde a interpretação faz parte da questão).
Provas
Questão presente nas seguintes provas
O prêmio puro mensal, a ser pago no início de cada mês e no prazo máximo possível (e atuarialmente recomendado), por uma pessoa de 20 anos, que deseje deixar R$ 12.000,00, caso sua morte ocorra até os 65 anos, é dado pela seguinte formulação:
Provas
Questão presente nas seguintes provas
Assinale a opção correta.
Para um Benefício de Pensão de R$1.000,00 mensais, com custeio calculado pelo RCC, onde
representa o valor atual dos encargos familiares mensais, o prêmio puro periódico, a ser pago no início de cada mês, é obtido pela seguinte formulação:
Atenção:
- o apóstrofe (') na simbologia indica o uso do fator da função;
- observe que nas opções há "x" como idade e como operador matemático (donde a interpretação faz parte da questão).
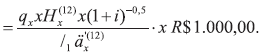
Para um Benefício de Pensão de R$1.000,00 mensais, com custeio calculado pelo RCC, onde
representa o valor atual dos encargos familiares mensais, o prêmio puro periódico, a ser pago no início de cada mês, é obtido pela seguinte formulação:Atenção:
- o apóstrofe (') na simbologia indica o uso do fator da função;
- observe que nas opções há "x" como idade e como operador matemático (donde a interpretação faz parte da questão).
Provas
Questão presente nas seguintes provas
A formulação do
para o recebimento do benefício de R$ 1.000,00, ao final de cada ano, após completar os 65 anos de idade, é dada por:
para o recebimento do benefício de R$ 1.000,00, ao final de cada ano, após completar os 65 anos de idade, é dada por:Provas
Questão presente nas seguintes provas
Assinale a opção correta.
O prêmio puro periódico de um seguro de Sobrevivência Capital (ou também denominado Dotal Puro) é de R$ 1.000,00. A seguradora trabalha com uma DA - Despesa Administrativa de 18% e MLE - Margem de Lucro Esperada de 12%, ambas sobre o prêmio comercial. Para conceder uma comissão de corretagem de 20%, qual deve ser o prêmio comercial correspondente?
O prêmio puro periódico de um seguro de Sobrevivência Capital (ou também denominado Dotal Puro) é de R$ 1.000,00. A seguradora trabalha com uma DA - Despesa Administrativa de 18% e MLE - Margem de Lucro Esperada de 12%, ambas sobre o prêmio comercial. Para conceder uma comissão de corretagem de 20%, qual deve ser o prêmio comercial correspondente?
Provas
Questão presente nas seguintes provas
Assinale a opção correta.
Para uma pessoa de 20 anos que deseje receber um benefício mensal de R$ 1.000,00, no final de cada mês, após completar os 65 anos de idade, o prêmio puro e único pode ser calculado por:
Para uma pessoa de 20 anos que deseje receber um benefício mensal de R$ 1.000,00, no final de cada mês, após completar os 65 anos de idade, o prêmio puro e único pode ser calculado por:
Provas
Questão presente nas seguintes provas
Assinale a opção correta.
A esperança completa de vida de uma pessoa ao nascer é igual a:
A esperança completa de vida de uma pessoa ao nascer é igual a:
Provas
Questão presente nas seguintes provas
Assinale a opção correta.
Se o
é de R$10.000,00, para um seguro contra morte, imediato e vitalício, e se o segurado deseja pagá-lo no final de cada mês, também de forma imediata e vitalícia, pela metodologia de Woolhouse, teremos a seguinte formulação, para o do respectivo prêmio puro:
Se o
é de R$10.000,00, para um seguro contra morte, imediato e vitalício, e se o segurado deseja pagá-lo no final de cada mês, também de forma imediata e vitalícia, pela metodologia de Woolhouse, teremos a seguinte formulação, para o do respectivo prêmio puro:Provas
Questão presente nas seguintes provas
Assinale a opção correta.
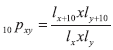
Se 10Px é igual a 0,85 e 10Py é igual a 0,80, a probabilidade de termos apenas um (1) vivo ao final dos 10 anos é de:
Se 10Px é igual a 0,85 e 10Py é igual a 0,80, a probabilidade de termos apenas um (1) vivo ao final dos 10 anos é de:
Provas
Questão presente nas seguintes provas
Assinale a opção correta.
Sendo "x" a idade do marido e "y" a idade de sua esposa, a probabilidade do casal estar vivo, após 10 anos é dada por:
Atenção:
- observe que nas opções há "x" como idade e como operador matemático (donde a interpretação faz parte da questão).
Sendo "x" a idade do marido e "y" a idade de sua esposa, a probabilidade do casal estar vivo, após 10 anos é dada por:
Atenção:
- observe que nas opções há "x" como idade e como operador matemático (donde a interpretação faz parte da questão).
Provas
Questão presente nas seguintes provas
Cadernos
Caderno Container