Magna Concursos

Foram encontradas 237 questões.

2777783 Ano: 2023
Disciplina: TI - Banco de Dados
Banca: CESGRANRIO
Orgão: AGERIO

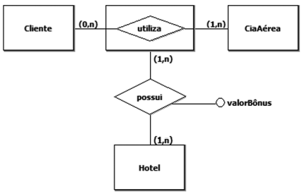
Uma empresa de turismo que opera na Web vai realizar uma grande promoção para tentar vender mais hospedagens para o próximo verão. Ela irá conceder um bônus (em reais) para a compra de passagens aéreas para todos os seus clientes que fizerem reservas para os meses de janeiro e fevereiro. A empresa resolveu criar um banco de dados especialmente para essa promoção. Nele serão registrados os clientes que fizerem pelo menos uma reserva, além de todos os hotéis e companhias aéreas com os quais a empresa de turismo opera. No modelo conceitual desse banco de dados, os participantes serão representados pelas entidades a seguir.

Enunciado 3444697-1

As regras para a concessão dos bônus são as seguintes:

  • Só participará da promoção o cliente que fizer, pelo menos, uma reserva até a data de término da promoção;
  • Um cliente poderá fazer reservas em vários hotéis;
  • Uma reserva será associada a, pelo menos, uma companhia aérea;
  • O banco de dados terá de ser capaz de informar a qual reserva um bônus está associado;
  • O bônus de uma reserva poderá ser usado em qualquer uma das companhias aéreas associadas à reserva;
  • Alguns hotéis e algumas companhias aéreas, embora presentes no banco de dados, poderão ficar ausentes da promoção.

Qual modelo E-R representa adequadamente as regras de negócio dessa promoção?

 

Provas

Questão presente nas seguintes provas
As estratégias de marketing de uma empresa devem estar relacionadas ao segmento-alvo que a empresa pretende atingir, e uma grande quantidade de empresas tem se empenhado em oferecer produtos para consumidores preocupados com as questões ambientais. No entanto, algumas empresas promovem seus produtos com propagandas ecológicas enganosas. A empresa X apresentou uma coleção de roupas produzidas com malhas fabricadas a partir da reciclagem de resíduos plásticos, e a propaganda da empresa exagerava na apresentação desse atributo ecologicamente correto. A propaganda da empresa não mostrava aos consumidores que o processo produtivo de suas roupas utilizava quantidade de água muito maior que o normal e gerava resíduos químicos altamente poluentes. Dessa forma, a propaganda da empresa X fazia o consumidor crer que estava contribuindo com a proteção do meio-ambiente, quando, na verdade, o dano ao ambiente era muito grande.
Esse tipo de prática de propaganda enganosa é denominada
 

Provas

Questão presente nas seguintes provas
Um colaborador da AgeRio está acompanhando uma situação em que percebeu a falta de ética de um colega. Ele pretende denunciar a situação no canal apropriado, entretanto desconhece os possíveis desdobramentos. De acordo com o Código de Ética e Conduta da AgeRio, um possível desdobramento do caso está descrito a seguir:
 

Provas

Questão presente nas seguintes provas
Um professor de Contabilidade irá assumir uma posição de membro do Conselho de Administração de uma instituição do sistema financeiro. O que ele não sabe é que a Resolução CMN nº 4.968/2021 dispõe sobre os sistemas de controles internos das instituições financeiras, distinguindo as responsabilidades e os papéis dos membros do Conselho de Administração dos papéis dos integrantes da Diretoria da instituição.
Dessa forma, o novo membro do Conselho de Administração poderá
 

Provas

Questão presente nas seguintes provas
O modelo COSO foi desenvolvido com a ideia de que o gestor possa gerenciar os riscos de modo eficaz, no contexto dos objetivos e da estrutura de cada organização. Adicionalmente, o modelo passou a visar o alinhamento da gestão de risco à estratégia e ao desempenho.
Nessa revisão, a dimensão de comunicação e reporte é desenvolvida por meio de
 

Provas

Questão presente nas seguintes provas
O modelo das três linhas de defesa apresenta uma forma de estabelecer os papéis e responsabilidades essenciais de cada gestor dentro da organização para protegê-la dos riscos por meio de uma estrutura adequada de governança.
Nesse modelo, as linhas de defesa são, respectivamente,
 

Provas

Questão presente nas seguintes provas
Uma equipe está desenvolvendo a gestão de riscos de um empreendimento de seu departamento, partindo da identificação de potenciais fontes de impacto negativo para o negócio.
Algumas perguntas podem ser feitas para auxiliar na identificação dos riscos, EXCETO a seguinte:
 

Provas

Questão presente nas seguintes provas
JON é Diretor Executivo de instituição financeira, sendo responsável pela observância das normas regulamentares emitidas pelo Banco Central do Brasil, buscando diminuir custos na realização de políticas determinadas.
De acordo com os termos da Circular BACEN nº 3.978/2020, admite-se a adoção de política de prevenção à lavagem de dinheiro única por conglomerado
 

Provas

Questão presente nas seguintes provas
J é economista e atua em instituição financeira ocupando cargo de gerência. No curso de sua atividade como bancário, realizou diversos treinamentos em legislação e obteve valiosos conselhos dos funcionários mais experientes. Um dos temas mais debatidos internamente relacionava-se à prevenção no concernente à lavagem de dinheiro.
De acordo com os termos da Circular BACEN nº 3.978/2020, a política de prevenção deve ser compatível em relação aos clientes com o seu perfil
 

Provas

Questão presente nas seguintes provas
De acordo com a Resolução nº 2.828, de 30 de março de 2001, do Conselho Monetário Nacional, a constituição e o funcionamento de agências de fomento, como a Agência Estadual de Fomento do Rio de Janeiro (AgeRio), dependem de autorização prévia do
 

Provas

Questão presente nas seguintes provas