Magna Concursos

Foram encontradas 259 questões.

1493868 Ano: 2006
Disciplina: Informática
Banca: NCE-UFRJ
Orgão: AGU
Provas:

Para as questões de número 31 a 40, considere as configurações típicas de instalação dos softwares citados nas suas versões em português, a menos quando especificado em contrário.

Um escritor está usando o MS Word 2000 em português para escrever um livro. Suponha que o título dos capítulos seja escrito no estilo Título. Para garantir que cada capítulo inicie em uma nova página, ele pode usar:

 

Provas

Questão presente nas seguintes provas
1493867 Ano: 2006
Disciplina: Informática
Banca: NCE-UFRJ
Orgão: AGU
Provas:

Para as questões de número 31 a 40, considere as configurações típicas de instalação dos softwares citados nas suas versões em português, a menos quando especificado em contrário.

A sintaxe correta da função SE no MS Excel 2000 em Português é:

 

Provas

Questão presente nas seguintes provas
1493866 Ano: 2006
Disciplina: Informática
Banca: NCE-UFRJ
Orgão: AGU
Provas:

Para as questões de número 31 a 40, considere as configurações típicas de instalação dos softwares citados nas suas versões em português, a menos quando especificado em contrário.

O suporte de uma empresa recebeu um chamado de um usuário novato, que não conseguia acessar, através do menu Iniciar do Windows 2000, um programa que ele não usava há algum tempo. Os técnicos divertiram-se bastante com o problema e o incluíram em seu livro "Histórias Engraçadas de Usuários", por se tratar de uma característica do Windows.

Nesse cenário, a causa provável do problema é que:

 

Provas

Questão presente nas seguintes provas
1493865 Ano: 2006
Disciplina: Direito Tributário
Banca: NCE-UFRJ
Orgão: AGU
Provas:

No que tange aos principais tributos, é correto afirmar que:

 

Provas

Questão presente nas seguintes provas
1493864 Ano: 2006
Disciplina: Direito Tributário
Banca: NCE-UFRJ
Orgão: AGU
Provas:

Indique, no rol de tributos abaixo indicados, aquele instituível em razão do exercício do poder de polícia ou pela utilização, efetiva ou potencial, de serviços públicos específicos e divisíveis, prestados ao contribuinte ou postos à sua disposição:

 

Provas

Questão presente nas seguintes provas
1493863 Ano: 2006
Disciplina: Direito Tributário
Banca: NCE-UFRJ
Orgão: AGU
Provas:

Em relação à definição de tributo estabelecida no artigo 3º do CTN: "tributo é toda prestação pecuniária compulsória, em moeda ou cujo valor nela se possa exprimir, que não constitua sanção de ato ilícito, instituída em lei e cobrada mediante atividade administrativa.", é INCORRETO afirmar que:

 

Provas

Questão presente nas seguintes provas
1493862 Ano: 2006
Disciplina: Contabilidade Geral
Banca: NCE-UFRJ
Orgão: AGU
Provas:

Em se tratando de Contabilidade por Responsabilidade, analise as afirmativas a seguir:

I – Os centros de custo de uma organização são subunidades administrativas cujos gerentes respondem por seus gastos.

II – Os departamentos de manutenção e de pessoal de uma organização são comumente considerados centros de receita e de lucro, respectivamente.

III – Contabilidade por responsabilidade é uma sistemática de prestação de contas que responsabiliza os gerentes apenas por custos.

IV – O lucro residual e o ROI podem ser considerados medidas de avaliação de desempenho dos centros de investimento.

As afirmativas corretas são somente:

 

Provas

Questão presente nas seguintes provas
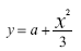
1493861 Ano: 2006
Disciplina: Matemática
Banca: NCE-UFRJ
Orgão: AGU
Provas:

A função enunciado 1493861-1 é uma estimativa do comportamento do custo de energia elétrica de uma fábrica em relação à variável x. Dado que x representa o número de horas-máquina, pressupõe-se que o domínio da função é maior ou igual a zero. Assim, pode-se deduzir que:

 

Provas

Questão presente nas seguintes provas
1493860 Ano: 2006
Disciplina: Contabilidade Geral
Banca: NCE-UFRJ
Orgão: AGU
Provas:

A Belux é uma multinacional fabricante de carros de passeio que dispõe de um centro de tecnologia automotiva, uma fábrica de máquinas e uma montadora de automóveis situados nos países X, Y e Z, respectivamente. O centro de tecnologia desenvolve o projeto dos carros e a fábrica de máquinas se encarrega da fabricação dos motores. Tanto o centro de tecnologia como a fábrica de máquinas são fornecedores de insumos para a montadora de automóveis. A fábrica de máquinas desenvolve seus próprios projetos e não conta com nenhum apoio do centro de tecnologia, e as alíquotas de imposto sobre o lucro nos países X, Y e Z são 45%, 35% e 40%, respectivamente. Considerando-se todas as demais variáveis constantes, pode-se afirmar com relação à incidência do imposto sobre o lucro que:

 

Provas

Questão presente nas seguintes provas
1493859 Ano: 2006
Disciplina: Contabilidade Pública
Banca: NCE-UFRJ
Orgão: AGU
Provas:

O orçamento é um instrumento fundamental de controle, presente na maioria das organizações, que pode ser elaborado de diversas maneiras. Entre as abordagens orçamentárias existentes, aquela que contempla estimativas de melhoria contínua durante o período orçamentário é denominada orçamento:

 

Provas

Questão presente nas seguintes provas