Foram encontradas 259 questões.
Os dados a seguir são pares conjugados de pesos (em kg) de indivíduos, obtidos antes ( X ) e depois ( Y ) da aplicação de um certo tratamento:

Provas
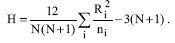
2) populações contínuas com o objetivo de testar a hipótese nula de que não há diferenças nos tratamentos, de modo que podemos supor que todas as observações provêm de uma mesma população, contra a hipótese alternativa de que há diferenças na locação dos tratamentos aplicados, ou seja, estamos no contexto da análise da variância de um critério.Em relação ao teste de Kruskal-Wallis, avalie as afirmativas a seguir: I - O teste é adequado para situações em que a suposição de normalidade típica da análise de variância não pode ser feita. II - Para executar o teste, inicialmente as N (N = n1+ n2 ... nk) observações são dispostas como se compusessem uma única amostra e os respectivos postos são determinados. Em seguida são calculadas as somas Ri dos postos das observações de cada amostra i, i= 1, ..., k. III - A estatística de teste é
IV %u2013 Assintoticamente, H tem distribuição qui-quadrado com k %u2013 2 graus de liberdade quando a hipótese nula é verdadeira. Estão corretas somente as afirmativas:Provas
Para testar Ho:
10 versus H1:
< 10,
parâmetro unidimensional, ao nível de significância
,as funções de potência de cinco critérios de decisão I, II, III, IV e V foram obtidas e estão apresentadas nos gráficos a seguir:

Provas
Para testar, ao nível de significância de 5%, H0: µ
20 versus H1: µ > 20, onde µ representa a média de uma distribuição normal com variância 25, uma amostra aleatória de tamanho 100 será observada. A região crítica resultante será:
Provas
Para testar a aderência de conjunto de observações a uma densidade normal, os dados foram distribuídos em 10 classes e as freqüências observadas foram obtidas. As estimativas de máxima verossimilhança da média e da variância populacionais foram calculadas e seus valores foram usados para calcular as freqüências esperadas nas 10 classes. Em seguida, a estatística qui-quadrado usual foi calculada. Sob a hipótese nula de aderência, essa estatística tem distribuição qui-quadrado aproximada com o seguinte número de graus de liberdade:
Provas
- Distribuições de ProbabilidadeDistribuições ContínuasStudent
- Estatística InferencialTeste de HipótesesP-valor
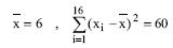
5 versus H1: µ > 5, em que µ representa a média de uma distribuição normal com parâmetros desconhecidos, foi usada uma amostra aleatória simples de tamanho 16, que forneceu as seguintes estatísticas:

Provas
Para testar H0: p = 0,5 versus H1: p = 0,8, em que p representa uma proporção populacional de "sucessos", será usada uma amostra aleatória simples de tamanho 4 e o critério de decisão que rejeita H0 se forem observados quatro "sucessos" na amostra. As probabilidades de erro tipo I e tipo II valem respectivamente:
Provas
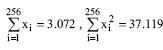
Uma amostra aleatória simples de tamanho 256 de uma distribuição normal foi observada e revelou os seguintes valores para as estatísticas suficientes:

Provas
Seja X1, X2, ... Xn uma amostra aleatória simples de uma distribuição
com parâmetro
unidimensional. Em relação ao método de estimação de
por máxima verossimilhança é INCORRETO afirmar que:
Provas
- Distribuições de ProbabilidadeDistribuições ContínuasExponencial
- Estatística InferencialEstimadoresEstimadores de Momentos
Se X1, X2, ..., Xn representa uma amostra aleatória simples de uma distribuição exponencial com média 1/
> 0, então o estimador de
pelo método dos momentos é:
Provas
Caderno Container