Foram encontradas 60 questões.
A solução da equação de difusão de nêutrons de um reator nuclear
esférico, sem refletor, em regime estacionário, na coordenada
radial, é dada por
Para o raio do reator R, o fluxo é ϕ(R) = 0. Sabendo que C ≠ 0, e que o buckling crítico B2 = 9,0 cm−2 , o raio crítico desse reator é cerca de
Para o raio do reator R, o fluxo é ϕ(R) = 0. Sabendo que C ≠ 0, e que o buckling crítico B2 = 9,0 cm−2 , o raio crítico desse reator é cerca de
Provas
Questão presente nas seguintes provas
A probabilidade de não vazamento de nêutrons (P) pode ser
expressa em termos de algumas propriedades físicas, tais como:
buckling (B2), comprimento de difusão (L), e idade de Fermi (t).
Considerando a equação de difusão de nêutrons para um grupo de
energia, a probabilidade de não vazamento de nêutrons é
Provas
Questão presente nas seguintes provas
Considere um reator homogêneo no qual:
é a seção de choque
macroscópica de absorção em fissão,
é a seção de choque
macroscópica de absorção no combustível, e
é a seção de
choque macroscópica de absorção no moderador.
O fator utilização térmica para o cálculo da criticalidade do reator é dado por
O fator utilização térmica para o cálculo da criticalidade do reator é dado por
Provas
Questão presente nas seguintes provas
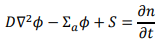
O balanço de nêutrons em um sistema reator considera os
processos de escape, absorção e produção de nêutrons. A equação
derivada desse balanço é a chamada equação de difusão de
nêutrons. Nela, a taxa da densidade de nêutrons n depende das
taxas desses processos por unidade de volume do sistema, ou seja,
onde ϕ é o fluxo de nêutrons, D é o coeficiente de difusão, ∑α é a seção de choque macroscópica de absorção, e S é o termo de fonte.
Considerando um sistema em regime estacionário e de tamanho infinito, a equação de difusão torna-se
onde ϕ é o fluxo de nêutrons, D é o coeficiente de difusão, ∑α é a seção de choque macroscópica de absorção, e S é o termo de fonte.
Considerando um sistema em regime estacionário e de tamanho infinito, a equação de difusão torna-se
Provas
Questão presente nas seguintes provas
O processo mais comum de se retirar calor do combustível de um
reator nuclear é por meio da passagem de um fluido sobre a
superfície do metal aquecido pelo combustível. Com respeito às
condições que o fluido deve satisfazer para ser um bom
refrigerador, analise os itens a seguir.
I. Seção de choque de absorção relativamente alta para nêutrons térmicos;
II. Ponto de ebulição elevado;
III. Taxa de ativação radioativa alta.
Está correto o que se afirma em
I. Seção de choque de absorção relativamente alta para nêutrons térmicos;
II. Ponto de ebulição elevado;
III. Taxa de ativação radioativa alta.
Está correto o que se afirma em
Provas
Questão presente nas seguintes provas
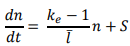
A taxa de acumulação da população de nêutrons é descrita pela equação
![]()
onde ke é o fator de multiplicação efetivo, Ī é a duração de vida médio dos nêutrons, e S é o termo de fonte. Em um reator nuclear em estado crítico, a solução dessa equação é
Provas
Questão presente nas seguintes provas
Um nêutron experimenta grande variedade de possíveis fatos no
decorrer de sua história. Em reatores nucleares de tamanho
infinito, a quantidade de nêutrons, desde a formação até a
eventual absorção, pode ser obtida pela fórmula dos quatro
fatores:
K∞ = εpfɳ
Nessa relação, a fração de nêutrons térmicos produzidos a partir de nêutrons de fissão corresponde a
K∞ = εpfɳ
Nessa relação, a fração de nêutrons térmicos produzidos a partir de nêutrons de fissão corresponde a
Provas
Questão presente nas seguintes provas
Num certo reator nuclear, sabe-se que são necessários 4,0 ×
1010 fissões/seg para produzir uma densidade de potência de
1,0 W /cm3
. Considerando que o fluxo de nêutrons térmicos é
8,0 × 1012 cm−2
seg−1
, e a seção de choque macroscópica de
fissão é 0,06 cm−1
, a potência produzida por um reator nuclear
com volume de 100 cm3 é
Provas
Questão presente nas seguintes provas
Um feixe de raios gama penetra grandes espessuras de matéria. A
redução da intensidade do feixe de raios gama incidentes, depois
de atravessar uma distância dentro do meio material, é dada por
onde I0 é a intensidade incidente e μ é o coeficiente linear de absorção. Considerando que para o chumbo μ = 0,693 cm−1 , e sabendo que loge2 = 0,693, a espessura de uma placa de chumbo necessária para reduzir a intensidade do feixe de raios gama a uma fração de 1⁄32 é cerca de
onde I0 é a intensidade incidente e μ é o coeficiente linear de absorção. Considerando que para o chumbo μ = 0,693 cm−1 , e sabendo que loge2 = 0,693, a espessura de uma placa de chumbo necessária para reduzir a intensidade do feixe de raios gama a uma fração de 1⁄32 é cerca de
Provas
Questão presente nas seguintes provas
Nêutrons e raios gama provenientes de reações com partículas
carregadas podem ser usados como projetis, para promover
outras reações nucleares. Considerando as reações nucleares de
captura radioativa, analise os itens a seguir.
Está correto o que se afirma em
Está correto o que se afirma em
Provas
Questão presente nas seguintes provas
Cadernos
Caderno Container