Foram encontradas 60 questões.
Sobre os requisitos aplicáveis ao Indivíduo Ocupacionalmente
Exposto (IOE), conforme estabelecido na Norma CNEN NN 3.01,
analise os itens a seguir:
I - O limite primário de dose efetiva para IOEs é de 50 mSv em um único ano, com a condição de que a média dos últimos 5 anos consecutivos não exceda 20 mSv por ano.
II - O IOE que declarar gravidez deve ser remanejado para condições onde a dose equivalente na superfície do abdômen não exceda 2 mSv durante todo o período restante da gestação.
III- O limite de dose equivalente para o cristalino é de 20 mSv por ano para o IOE, enquanto o limite para a pele e extremidades é de 500 mSv por ano.
Está correto o que se afirma em
I - O limite primário de dose efetiva para IOEs é de 50 mSv em um único ano, com a condição de que a média dos últimos 5 anos consecutivos não exceda 20 mSv por ano.
II - O IOE que declarar gravidez deve ser remanejado para condições onde a dose equivalente na superfície do abdômen não exceda 2 mSv durante todo o período restante da gestação.
III- O limite de dose equivalente para o cristalino é de 20 mSv por ano para o IOE, enquanto o limite para a pele e extremidades é de 500 mSv por ano.
Está correto o que se afirma em
Provas
Questão presente nas seguintes provas
A primeira barreira contra o escapamento de material radioativo
em um reator de água leve pressurizada (PWR) é
Provas
Questão presente nas seguintes provas
A Norma CNEN-NN-1.16/2000 estabelece os requisitos de
Garantia da Qualidade para a Segurança de Usinas Nucleoelétricas
e Outras Instalações no Brasil. Sobre os princípios e o campo de
aplicação desta Norma, analise os itens a seguir:
I - O campo de aplicação da CNEN-NN-1.16/2000 cobre todas as fases de vida de uma instalação nuclear, desde o gerenciamento inicial e escolha do local até o projeto, construção, operação e descomissionamento.
II – Um requisito fundamental da Norma é que o Programa de Garantia da Qualidade (PGQ) deve ser focado primariamente na satisfação do cliente e na otimização de custos, sendo os aspectos de segurança tratados por Normas complementares específicas da CNEN.
III - No que diz respeito ao controle de itens e serviços comprados (aquisição), a Norma exige que a capacidade dos fornecedores externos de fornecer itens ou serviços importantes à segurança seja formalmente avaliada durante o processo de seleção.
Está correto o que se afirma em
I - O campo de aplicação da CNEN-NN-1.16/2000 cobre todas as fases de vida de uma instalação nuclear, desde o gerenciamento inicial e escolha do local até o projeto, construção, operação e descomissionamento.
II – Um requisito fundamental da Norma é que o Programa de Garantia da Qualidade (PGQ) deve ser focado primariamente na satisfação do cliente e na otimização de custos, sendo os aspectos de segurança tratados por Normas complementares específicas da CNEN.
III - No que diz respeito ao controle de itens e serviços comprados (aquisição), a Norma exige que a capacidade dos fornecedores externos de fornecer itens ou serviços importantes à segurança seja formalmente avaliada durante o processo de seleção.
Está correto o que se afirma em
Provas
Questão presente nas seguintes provas
A Norma CNEN NN 3.01 (Requisitos Básicos de Radioproteção)
estabelece as grandezas de proteção radiológica para fins de
controle e limitação de exposições. Sobre a Dose Equivalente HT e
a Dose Efetiva E, analise os itens a seguir:
I. A Dose Equivalente HT é definida como a dose absorvida média em um tecido ou órgão DT,R, ponderada pelo Fator de Ponderação da Radiação WR.
II. A Dose Efetiva E é o somatório das Doses Equivalentes HT em todos os tecidos e órgãos, cada uma ponderada pelo Fator de Ponderação do Tecido WT correspondente.
III. A unidade de medida para ambas as grandezas, Dose Equivalente HT e Dose Efetiva E, é o gray (Gy).
Está correto o que se afirma em
I. A Dose Equivalente HT é definida como a dose absorvida média em um tecido ou órgão DT,R, ponderada pelo Fator de Ponderação da Radiação WR.
II. A Dose Efetiva E é o somatório das Doses Equivalentes HT em todos os tecidos e órgãos, cada uma ponderada pelo Fator de Ponderação do Tecido WT correspondente.
III. A unidade de medida para ambas as grandezas, Dose Equivalente HT e Dose Efetiva E, é o gray (Gy).
Está correto o que se afirma em
Provas
Questão presente nas seguintes provas
A nova etapa que foi inserida no item 1.2.1 da Norma CNEN-NE1.04, dada pela Resolução CNEN 324/24 referente às atividades
relacionadas com a localização, construção e operação de
instalações nucleares é classificada como
Provas
Questão presente nas seguintes provas
As propriedades dos fluidos e suas características de escoamento
desempenham importante papel na determinação de coeficientes
de transferência de calor. Por exemplo, um escoamento de fluido
em um tubo pode ser caracterizado pelo seguinte número
adimensional:
onde Dé o diâmetro do tubo, v é a velocidade do escoamento, p é a massa específica do fluido, cp é o calor específico do fluido, e μ é a viscosidade do fluido. O número N significa
onde Dé o diâmetro do tubo, v é a velocidade do escoamento, p é a massa específica do fluido, cp é o calor específico do fluido, e μ é a viscosidade do fluido. O número N significa
Provas
Questão presente nas seguintes provas
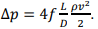
Exigências de energia de bombeamento são determinadas pela
queda de pressão no escoamento de fluido em sistemas de
refrigeração. A queda de pressão em um tubo depende de vários
parâmetros, tais como: viscosidade μ, velocidade v, comprimento
do tubo L , diâmetro do tubo D, massa específica p, e fator de
atrito f.
Nesse contexto, a queda de pressão em um escoamento turbulento é dada por
Nesse contexto, a queda de pressão em um escoamento turbulento é dada por
Provas
Questão presente nas seguintes provas
Um sistema de resfriamento de um reator nuclear pode
apresentar problemas específicos relacionados ao seu projeto.
Existem importantes aspectos físicos do projeto a serem
considerados, mas muitos deles representam problemas em
materiais, equipamentos e estruturas.
Um importante aspecto que representa estritamente um problema de transferência de calor é
Um importante aspecto que representa estritamente um problema de transferência de calor é
Provas
Questão presente nas seguintes provas
Um reator opera a 4000 kW. Para remover o calor gerado no
reator, água a 25 ℃ escoa através dos elementos combustíveis a
uma vazão de 20 kg / s
Uma vez que o calor específico da água é 4000 J / kg ∙ ℃, a temperatura da água na saída do reator é
Uma vez que o calor específico da água é 4000 J / kg ∙ ℃, a temperatura da água na saída do reator é
Provas
Questão presente nas seguintes provas
Um elemento combustível do tipo placa infinita tem uma
espessura 2L, condutividade térmica k, e gera uma taxa de calor
Q por unidade de volume. Em regime estacionário, a distribuição
de temperatura ao longo da direção da espessura x é
onde T0 é a temperatura no centro da placa (x = 0) e Ts é a temperatura na superfície da placa (x = L).
Uma vez que o fluxo de calor no centro da placa é nulo, deduz-se que a diferença entre as duas temperaturas é
onde T0 é a temperatura no centro da placa (x = 0) e Ts é a temperatura na superfície da placa (x = L).
Uma vez que o fluxo de calor no centro da placa é nulo, deduz-se que a diferença entre as duas temperaturas é
Provas
Questão presente nas seguintes provas
Cadernos
Caderno Container