Foram encontradas 1.760 questões.
A volumetria de neutralização é um método analítico clássico, amplamente empregado para a determinação da acidez ou da alcalinidade. A figura abaixo mostra as curvas de titulação de um ácido forte, com três concentrações diferentes, e uma base forte.

A partir da interpretação das curvas mostradas na figura, em relação à concentração e ao ponto de equivalência, conclui-se que a curva 1 refere-se à solução ácida
Provas
Questão presente nas seguintes provas
Os lipídios referem-se a um conjunto de substâncias químicas que, ao contrário das outras classes de compostos orgânicos, não são caracterizadas por algum grupo funcional comum, e sim pela sua alta solubilidade em solventes orgânicos e baixa solubilidade em água. Em relação aos lipídios, é correto afirmar que
Provas
Questão presente nas seguintes provas
Uma fonte radioativa A é colocada na frente de um contador Geiger, que registra 1.100 contagens em 5 minutos. Quando uma fonte B é colocada na mesma posição, o contador também registra 1.100 contagens em 5 minutos. Quando não é colocada nenhuma fonte perto do contador, ele registra 300 contagens em 5 minutos, que são devidas à radiação de fundo. As duas fontes, A e B, foram colocadas juntas diante do contador. Suponha que, depois de 6 anos, as mesmas duas fontes sejam colocadas novamente diante do contador. Admitindo que as condições ambientais não tenham mudado (ou seja, a radiação de fundo continuou a mesma), e considerando que a meia-vida da fonte A é de 2 anos, e a de B é de 3 anos, assinale a alternativa que apresenta as atividades medidas hoje e daqui a 6 anos, respectivamente, em contagens a cada 5 minutos.
Provas
Questão presente nas seguintes provas
Sobre as partículas alfa, analise as assertivas abaixo.
I. Quanto maior o número atômico de átomos radioativos, maior a probabilidade de emissão espontânea de partículas alfa.
II. Para que ocorra decaimento alfa, o valor da energia de desintegração deve ser positivo.
III. Devido à conservação do momento linear, como a massa do núcleo-filho é muito maior que a da partícula alfa, ela carrega quase toda a energia cinética.
É correto o que se afirma em
Provas
Questão presente nas seguintes provas
O molibdênio é um elemento importante para a produção do tecnécio, muito utilizado em exames de produção de imagens, como tomografias e ressonâncias magnéticas. O diagrama abaixo mostra a linha de caimento mais provável do molibdênio até atingir o rutênio, que apresenta um núcleo estável.

Assinale a alternativa que apresenta os valores corretos para X, Y e Z, respectivamente.
Provas
Questão presente nas seguintes provas
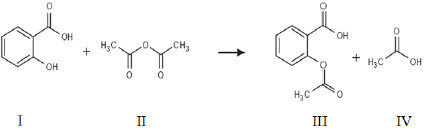
Leia o texto e observe a figura abaixo, para responder à questão.
O ácido acetilsalicílico, medicamento mais consumido no mundo, é um fármaco do grupo dos anti-inflamatórios não esteroides (AINE), utilizado como anti-inflamatório, antipirético e analgésico. A figura abaixo mostra a reação da síntese do ácido acetilsalicílico.

A respeito dos compostos I, II, III e IV, é correto afirmar que
Provas
Questão presente nas seguintes provas
Leia o texto e observe a figura abaixo, para responder à questão.
O ácido acetilsalicílico, medicamento mais consumido no mundo, é um fármaco do grupo dos anti-inflamatórios não esteroides (AINE), utilizado como anti-inflamatório, antipirético e analgésico. A figura abaixo mostra a reação da síntese do ácido acetilsalicílico.

A massa molar do composto I, em g/mol é: (Massas atômicas, em u.m.a.: C = 12; O = 16; H = 1)
Provas
Questão presente nas seguintes provas
Em relação a macromoléculas e polímeros, analise as assertivas abaixo.
I. A reação de polimerização do amido é de policondensação.
II. Polímeros termoplásticos raramente ocorrem na natureza.
III. Policloreto de vinila (PVC) é um polímero do cloroeteno.
IV. Proteínas são polímeros naturais.
É correto o que se afirma em
Provas
Questão presente nas seguintes provas
Assinale a alternativa que apresenta uma transformação química.
Provas
Questão presente nas seguintes provas
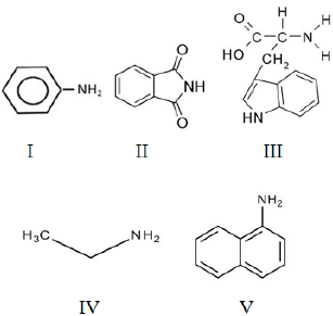
Observe as estruturas abaixo.

Assinale a alternativa que apresenta as estruturas que correspondem a aminas.
Provas
Questão presente nas seguintes provas
Cadernos
Caderno Container