Foram encontradas 329 questões.
Faça a correlação e escolha uma das alternativas abaixo:

A seqüência que completa corretamente a coluna da direita, na ordem dada, é:
Provas
Segundo as normas internacionais de contabilidade, mais precisamente o International Accounting Standard nº 32 (IAS 32), que substituiu o SIC – 17, os gastos incrementais incorridos diretamente com a emissão e colocação de ações no mercado mobiliário devem ser registrados contabilmente:
Provas
Considerando-se as normas sobre o tema emitidas pelo IASB e o FASB, é correto afirmar, sobre a aplicação desse procedimento, que é:
Provas
A Cia. JAX efetuou as seguintes transações durante o período de 19X1:
I. Captação de empréstimo bancário
II. Pagamento de dividendos
III. Recebimento de juros sobre aplicações financeiras
IV. Pagamento de uma parcela de imobilizado adquirido à prazo, com financiamento obtido diretamente junto ao vendedor
V. Pagamento de juros sobre empréstimos obtidos
Considerando-se a norma norte-americana de contabilidade, mais precisamente o SFAS nº 95/87, indique, respectivamente, quais fluxos de caixa foram impactados por essas transações, ou seja, Operacional (O), Investimento (I) ou Financiamento (F):
Provas
A Mediaflix é uma empresa de produções musicais que atua em diversos segmentos do ramo. A Mediaflix é basicamente funcional e burocrática e apresenta os departamentos seguintes:
o Produção de CD
o Administração Central
o Marketing
o Controlada MP3 de mídia digital
Em relação à classificação dos centros de responsabilidade em custos, receitas, lucro ou investimentos para essa empresa é correto afirmar que:
Provas
Analise as sentenças a seguir:
I. O EVA aumenta quando a taxa de retorno sobre a base de capital existente melhora, isto é, mais lucros operacionais são gerados na obtenção de qualquer recurso adicional ao negócio.
II. A correção monetária integral utiliza o custo corrente para valoração dos ativos.
III. A contabilidade pode apresentar o valor adicionado líquido ou bruto. A depreciação pode ser diminuída do valor adicionado ou, ainda, ser considerada como distribuição da riqueza criada apresentada no subgrupo Retenções ou Lucro Retido.
Assinale a alternativa que indica as afirmativas corretas:
Provas
Uma loja vende uma boneca por $300 à vista. A prazo, a boneca é vendida por $350, pagando-se $100 de entrada e o restante dentro de dois meses. A taxa de juros mensal, sabendo que se trata do regime de juros simples, é de:
Provas

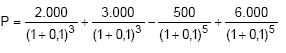
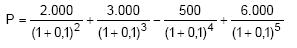
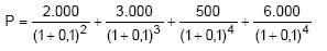
Obs.: Considerar o cálculo do valor da empresa no instante 0, que a taxa de descapitalização é de 10% e que os fluxos de caixa dos anos pares são postecipados - ou seja, no final do período - e dos anos ímpares são antecipados - ou seja, no início do período. Os itens entre parênteses são valores negativos.
Provas
Entendem-se como cobertas por garantias as operações de crédito amparadas por:
I. Caução de duplicatas vincendas e aceitas, assim consideradas, também aquelas remetidas aos sacados e que não tenham sido objeto de contestação, ou de quaisquer outros direitos de créditos resultantes de vendas de mercadorias ou de prestação de serviços, desde que tais títulos não sejam de emissão ou aceite de empresas ligadas ao financiado.
II. Apólice de seguro de crédito de exportação, em nome da entidade beneficiária, satisfeitas as condições previstas naquele documento.
III. Aval de terceiros que, comprovadamente, disponham de bens que possam ser objeto de arresto ou penhora em valor suficiente para a cobertura do saldo devedor atualizado.
Provas
- Noções BásicasConceitos, Objeto, Finalidade e Usuários
- Procedimentos EspecíficosOperações Financeiras
As instituições financeiras NÃO podem realizar operações de crédito com:
Provas
Caderno Container