Magna Concursos

Foram encontradas 50 questões.

638714 Ano: 2018
Disciplina: Raciocínio Lógico
Banca: FUMARC
Orgão: Câm. Carmo Cajuru-MG
Provas:

No universo dos números naturais, consideram-se duas propriedades p e q:

p: n é um número natural múltiplo de 3

q: a soma dos algarismos de n é um número natural divisível por 3.


Nessas condições, é CORRETO afirmar que a relação de implicação lógica entre as propriedades p e q é:

 

Provas

Questão presente nas seguintes provas
638713 Ano: 2018
Disciplina: Raciocínio Lógico
Banca: FUMARC
Orgão: Câm. Carmo Cajuru-MG
Provas:
Se todo professor é estudioso e existem artistas que são professores, então, partindo dessas premissas lógicas, é CORRETO concluir que
 

Provas

Questão presente nas seguintes provas
638712 Ano: 2018
Disciplina: Legislação Municipal
Banca: FUMARC
Orgão: Câm. Carmo Cajuru-MG
Provas:
A Câmara Municipal reunir-se-á extraordinariamente quando convocada pelo
 

Provas

Questão presente nas seguintes provas
638711 Ano: 2018
Disciplina: Legislação Municipal
Banca: FUMARC
Orgão: Câm. Carmo Cajuru-MG
Provas:
A aplicação de penalidade de demissão a servidor da Câmara Municipal é de competência do(a)
 

Provas

Questão presente nas seguintes provas
638710 Ano: 2018
Disciplina: Direito Administrativo
Banca: FUMARC
Orgão: Câm. Carmo Cajuru-MG
Provas:
A inviolabilidade do vereador, por suas opiniões, palavras e votos, PRESSUPÕE que a manifestação do vereador tenha sido emitida
 

Provas

Questão presente nas seguintes provas
638709 Ano: 2018
Disciplina: Matemática
Banca: FUMARC
Orgão: Câm. Carmo Cajuru-MG
Provas:
O crescimento exponencial de uma determinada cultura de bactérias em função do tempo de observação se expressa por f(t) = Be k t sendo B e K constantes positivas e t é o tempo em horas. Se, no instante inicial da observação, estão presentes 1.500 bactérias, e esse total duplica em 4 horas, então é CORRETO afirmar que o total de bactérias presentes ao final de seis horas de observação é igual a
 

Provas

Questão presente nas seguintes provas
638708 Ano: 2018
Disciplina: Matemática
Banca: FUMARC
Orgão: Câm. Carmo Cajuru-MG
Provas:
Se a sequência de números reais representada por (x, y, z, w) é uma Progressão Geométrica, na qual w + y = 60 e x + z = 20, então é CORRETO afirmar que o valor de x e a razão dessa Progressão são, respectivamente, iguais a
 

Provas

Questão presente nas seguintes provas
638707 Ano: 2018
Disciplina: Estatística
Banca: FUMARC
Orgão: Câm. Carmo Cajuru-MG
Provas:
O gráfico a seguir registra a temperatura de aquecimento simultâneo, a partir de duas massas iguais de óleo e água em função do tempo de observação.
enunciado 638707-1


Se a água ferve a 100 oC, então é CORRETO afirmar que, no instante em que a água ferve, a temperatura atingida pelo óleo será de
 

Provas

Questão presente nas seguintes provas
638706 Ano: 2018
Disciplina: Matemática
Banca: FUMARC
Orgão: Câm. Carmo Cajuru-MG
Provas:
Se a sequência (x, y, z, k) é uma Progressão Aritmética crescente na qual x + y = 1 e z + k = 9, então é CORRETO afirmar que o terceiro termo dessa progressão é um número
 

Provas

Questão presente nas seguintes provas
638705 Ano: 2018
Disciplina: Matemática
Banca: FUMARC
Orgão: Câm. Carmo Cajuru-MG
Provas:

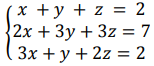
Se M = x.y/z + x em que x, y e z representam a solução do sistema linear a seguir,

enunciado 638705-1

então é CORETO afirmar que o valor de M é igual a

 

Provas

Questão presente nas seguintes provas