Foram encontradas 160 questões.
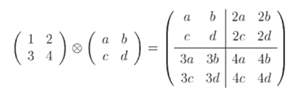
Pela regra mostrada na figura, cada número da matriz A
multiplica todos os números da matriz B, formando um
mosaico 4×4. Considere A = [[1, 2], [3, 4]] e B = [[a, b], [c, d]].
Seja S = a + b + c + d. Qual é a soma de todos os 16 números
do mosaico A ⊗ B?


Provas
Questão presente nas seguintes provas
Seis candidatos distintos serão dispostos ao redor de uma
mesa redonda. De quantas maneiras é possível arranjá-los se
A e B não podem ficar lado a lado?
Provas
Questão presente nas seguintes provas
Cinco pessoas (Ana, Bruno, Carla, Daniel e Esther) ocupam,
cada uma, uma sala numerada de 1 a 5, da esquerda para a
direita. Regras:
I. Carla está na sala 3.
II. Bruno ocupa uma sala adjacente à de Carla.
III. Daniel está à esquerda de Esther.
IV. A sala de Ana é imediatamente à esquerda da de Daniel.
Em qual sala está Bruno?
I. Carla está na sala 3.
II. Bruno ocupa uma sala adjacente à de Carla.
III. Daniel está à esquerda de Esther.
IV. A sala de Ana é imediatamente à esquerda da de Daniel.
Em qual sala está Bruno?
Provas
Questão presente nas seguintes provas
No universo de 500 clientes: |A| = 300 (assinantes plano A),
|B| = 280 (plano B) e |A ∩ B| = 180. Quantos estão em B mas
não em A?
Provas
Questão presente nas seguintes provas
Duas máquinas produzem peças: A (60% da produção, 2%
defeito) e B (40%, 5% defeito). Uma peça foi sorteada e está
defeituosa. Qual a probabilidade de ter sido produzida pela
máquina B?
Provas
Questão presente nas seguintes provas
Com o aumento do uso da computação em nuvem (cloud
computing) no setor público e privado, o armazenamento de
dados remotos tornou-se prática recorrente. Sobre o tema,
assinale a alternativa correta.
Provas
Questão presente nas seguintes provas
As redes de computadores e os navegadores de internet são
recursos indispensáveis ao serviço público. Considerando os
navegadores Microsoft Edge (substituto do Internet Explorer a
partir do Windows 10), Mozilla Firefox 115 ESR e Google
Chrome versão estável 2024, assinale a alternativa correta:
Provas
Questão presente nas seguintes provas
Os aplicativos de edição de textos, planilhas e apresentações
são recursos fundamentais no cotidiano de um agente
administrativo. Considerando os softwares Microsoft Office
2019 e LibreOffice 7.x, avalie as seguintes afirmações:
Provas
Questão presente nas seguintes provas
3844502
Ano: 2025
Disciplina: TI - Segurança da Informação
Banca: Darwin
Orgão: Câm. Lagoa Carro-PE
Disciplina: TI - Segurança da Informação
Banca: Darwin
Orgão: Câm. Lagoa Carro-PE
Provas:
A segurança da informação é aspecto fundamental em
ambientes corporativos e governamentais. Sobre o tema,
assinale a alternativa correta.
Provas
Questão presente nas seguintes provas
3844501
Ano: 2025
Disciplina: TI - Sistemas Operacionais
Banca: Darwin
Orgão: Câm. Lagoa Carro-PE
Disciplina: TI - Sistemas Operacionais
Banca: Darwin
Orgão: Câm. Lagoa Carro-PE
Provas:
Nos sistemas operacionais modernos, o gerenciamento de
arquivos e diretórios é essencial para a organização e
execução de tarefas administrativas. Considerando o Windows
10 e o Linux Ubuntu 22.04 LTS, analise as alternativas a seguir
e, em seguida, assinale a opção correta.
Provas
Questão presente nas seguintes provas
Cadernos
Caderno Container