Foram encontradas 460 questões.
Os amplificadores operacionais são componentes da eletrônica analógica que são extremamente
versáteis, e a depender de sua configuração, podem atuar como amplificadores de sinais, amplificador
de pequenos sinais para instrumentação, filtros ativos etc. O circuito abaixo apresenta uma configuração
simples com amplificador operacional.

Trata-se de um circuito

Trata-se de um circuito
Provas
Questão presente nas seguintes provas
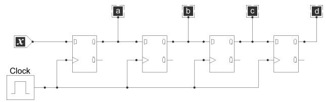
Os flip-flops são componentes síncronos da eletrônica digital que permitem a construção de diversos
circuitos mais complexos, como contadores, memórias e registradores de diversas finalidades. O
diagrama abaixo apresenta uma aplicação utilizando flip-flops do tipo “D”:

Esse circuito está representando um

Esse circuito está representando um
Provas
Questão presente nas seguintes provas
O sistema de geração de energia elétrica por placas solares é uma fonte alternativa bastante viável,
sobretudo, em regiões com alta incidência solar, como é o caso do nordeste brasileiro. Esse sistema pode
ser individual e alimentar uma residência que não está ligada à rede elétrica da concessionária, ou pode
ser interligado com o sistema elétrico da concessionária. Para o caso de um sistema individual, sem
interconexão com a rede da concessionária (“off grid”), a sequência correta de equipamentos do sistema,
sem considerar os disjuntores de interconexão, é:
Provas
Questão presente nas seguintes provas
Microcontroladores são dispositivos eletrônicos utilizados para controlar sistemas automatizados e
realizar tarefas específicas em tempo real. Eles contêm diversos periféricos, tais como temporizadores,
conversores A/D e D/A, interfaces de comunicação, entre outros. Um importante componente de um
microcontrolador é o registrador de controle (“Control Register”), responsável por
Provas
Questão presente nas seguintes provas
Ao se utilizar diodos em circuitos de corrente contínua, também é preciso preocupar-se com a potência
dissipada nesses elementos, pois não é raro que um diodo seja aplicado em um circuito de conversão de
energia onde as potências dissipadas nos elementos é um fator crítico. No circuito abaixo, um diodo de
silício (VD = 0.7 V) é aplicado em um circuito de corrente contínua.

A potência dissipada no diodo é igual a

A potência dissipada no diodo é igual a
Provas
Questão presente nas seguintes provas
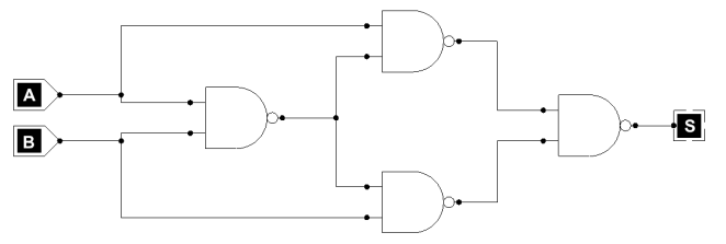
Na eletrônica digital, o Teorema de DeMorgan é uma ferramenta útil na simplificação de expressões
lógicas, permitindo a construção dos circuitos lógicos de maneira otimizada. Em alguns casos, é possível
reproduzir diferentes funções, utilizando apenas um tipo de porta lógica, como é o caso abaixo, em que
A e B são as entradas, independentes; S é a saída.

A saída desse circuito tem equivalência com a função lógica

A saída desse circuito tem equivalência com a função lógica
Provas
Questão presente nas seguintes provas
Alguns componentes elétricos, como indutores e capacitores, apresentam comportamento diferente
quando submetidos à corrente alternada ou contínua. Em corrente alternada, o comportamento irá
depender do sinal aplicado, pois a reatância de cada elemento varia em função da frequência elétrica.
Esse efeito tem consequências no comportamento de indutores e capacitores, visto que suas
impandências individuais, em módulo, são
Provas
Questão presente nas seguintes provas
Os sistemas de acionamento de motores elétricos são construídos utilizando-se diversos componentes
elétricos, como relés temporizados, contactores e transformadores e componentes eletrônicos, como os
tiristores. Cada técnica de acionamento possui suas peculiaridades e aplicabilidades. Por exemplo,
quando se deseja reduzir significativamente a corrente de pico na partida de motores de indução
monofásicos de modo a evitar trancos no equipamento, prolongar a vida útil do motor, proteger o sistema
elétrico periférico e, ainda, fazer com que a máquina acelere gradualmente, utiliza-se a
Provas
Questão presente nas seguintes provas
Circuitos retificadores são responsáveis por converter energia elétrica de natureza alternada para
contínua. Uma das topologias mais utilizadas é a associação do “Retificador de Onda Completa do Tipo
Ponte” à saída de um transformador, como mostra a figura abaixo.
Nessa representação, considere que a fonte V1 é de natureza alternada, seu valor eficaz é de 220 volts e sua frequência é de 60 Hz; que o transformador é ideal e possui relação de transformação de 30:1; que os diodos são de silício e, portanto, apresentam uma queda de tensão de 0.7 volts, cada; que o capacitor possui uma capacitância suficiente para remover qualquer oscilação de tensão; e que a resistência de carga, R1, possui 10k ohms. A partir dessas especificações, a corrente contínua na saída será igual a
Nessa representação, considere que a fonte V1 é de natureza alternada, seu valor eficaz é de 220 volts e sua frequência é de 60 Hz; que o transformador é ideal e possui relação de transformação de 30:1; que os diodos são de silício e, portanto, apresentam uma queda de tensão de 0.7 volts, cada; que o capacitor possui uma capacitância suficiente para remover qualquer oscilação de tensão; e que a resistência de carga, R1, possui 10k ohms. A partir dessas especificações, a corrente contínua na saída será igual a
Provas
Questão presente nas seguintes provas
O diagrama abaixo representa um estágio CC de autopolarização utilizando transistor NPN. Nesse
diagrama, o Vcc é a tensão auxiliar de natureza contínua; Rb é o resistor de base; e Rc é a resistência
de coletor. O ganho típico em corrente contínua (hfe) do transistor BC547B é de 300, e sua tensão entre
base-emissor (Vbe) é de 0.7 V.

Para que esse transistor opere com a tensão emissor-coletor (Vce) igual a 6V, o valor do resistor de base Rb deve ser de

Para que esse transistor opere com a tensão emissor-coletor (Vce) igual a 6V, o valor do resistor de base Rb deve ser de
Provas
Questão presente nas seguintes provas
Cadernos
Caderno Container