Magna Concursos

Foram encontradas 470 questões.

387094 Ano: 2011
Disciplina: TI - Sistemas Operacionais
Banca: CESPE / CEBRASPE
Orgão: CBM-DF
Julgue o item a seguir, relativo aos sistemas operacionais Linux e Windows.
A guia Desempenho, no gerenciador de tarefas do Windows 7, fornece detalhes avançados sobre o modo como o computador está usando os recursos do sistema, tais como memória RAM e a unidade de processamento central.
 

Provas

Questão presente nas seguintes provas
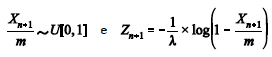
387088 Ano: 2011
Disciplina: Estatística
Banca: CESPE / CEBRASPE
Orgão: CBM-DF

Com relação ao gerador de números pseudoaleatórios, em que se utiliza a relação Xn+1 = [a × Xn + b] mod m, julgue o item que se segue.

Se Enunciado 387088-1 , então !$ E(Z^2_{n+1}) = 2 \times E(Z_{n+1})^2 !$.

 

Provas

Questão presente nas seguintes provas
No que se refere à prevenção e ao tratamento da cárie, julgue o seguinte item.
Em virtude de a cavidade oral estar frequentemente exposta a situações extremas no que se refere a temperatura, pH, viscosidade e composição química dos alimentos ingeridos, os processos mecânicos orais que agem durante a função natural ou a auto-higiene são fundamentais para a permanência dos microrganismos nas superfícies orais.
 

Provas

Questão presente nas seguintes provas
387028 Ano: 2011
Disciplina: Estatística
Banca: CESPE / CEBRASPE
Orgão: CBM-DF

A respeito de probabilidade, julgue o item.

Se X e Y forem variáveis aleatórias com média condicional g(y) = E(X|Y = y), então E(X) = E(g(Y)).

 

Provas

Questão presente nas seguintes provas
386987 Ano: 2011
Disciplina: Estatística
Banca: CESPE / CEBRASPE
Orgão: CBM-DF

Com relação à amostragem aleatória simples em população de tamanho finito, julgue o item seguinte.

Na amostragem aleatória simples sobre uma população de tamanho finito, a média amostral !$ \bar {X} !$ é o estimador não viciado para a média populacional !$ \mu !$. Nesse caso, se a amostragem for realizada sem reposição, a variância de !$ \bar {X} !$ será menor que a realizada com reposição.

 

Provas

Questão presente nas seguintes provas
385934 Ano: 2011
Disciplina: Enfermagem
Banca: CESPE / CEBRASPE
Orgão: CBM-DF
Com referência às medidas a serem tomadas na assistência de enfermagem a gestantes do grupo de alto risco, julgue o item.
Será considerada gestante hipertensa de alto risco aquela que apresentar pressão arterial igual a 140 mmHg × 90 mmHg ou maior que essa, resultado baseado na média de pelo menos duas medidas, que devem ser realizadas medindo-se a pressão sistólica ao primeiro ruído (aparecimento do som) e a pressão diastólica ao quinto ruído de Korotkoff (desaparecimento do som).
 

Provas

Questão presente nas seguintes provas
385921 Ano: 2011
Disciplina: Estatística
Banca: CESPE / CEBRASPE
Orgão: CBM-DF

Julgue o item que se segue, relativo aos processos AR(p), assumindo que !$ \sqrt {17} = 4,12 !$ e !$ \sqrt {2} = 1,41 !$ e que !$ \{a_t\} !$ é uma sequência de choques aleatórios independentes e identicamente distribuídos !$ N (0, \sigma^2) !$.

O processo autoregressivo na forma !$ Y_t = 2 Y_{t-1} + 4 Y_{t-2} + a_t !$ é estacionário.

 

Provas

Questão presente nas seguintes provas
385904 Ano: 2011
Disciplina: TI - Redes de Computadores
Banca: CESPE / CEBRASPE
Orgão: CBM-DF
Com relação ao protocolo RADIUS, aos protocolos TCP e IP, ao sistema operacional Linux, a switches layer 3 e a servidores de correio eletrônico, julgue o item que se segue.
As switches layer 3 têm capacidade de processar um maior número de pacotes por unidade de tempo que os roteadores.
 

Provas

Questão presente nas seguintes provas
O sistema endócrino envolve as glândulas de secreção interna — que liberam hormônios no sangue. Acerca das doenças endócrinas, julgue o próximo item.
Como o hormônio tireoidiano induz aumento do cronotropismo e do inotropismo cardíacos e também promove redução na resistência vascular periférica, pacientes com hipertireoidismo tendem a apresentar aumento do débito cardíaco e da pressão arterial diferencial, em decorrência dos efeitos cardiovasculares desse hormônio.
 

Provas

Questão presente nas seguintes provas
385896 Ano: 2011
Disciplina: TI - Redes de Computadores
Banca: CESPE / CEBRASPE
Orgão: CBM-DF
Com relação ao protocolo RADIUS, aos protocolos TCP e IP, ao sistema operacional Linux, a switches layer 3 e a servidores de correio eletrônico, julgue o item que se segue.
No datagrama do IP (Internet protocol), o campo TTL (time to live) indica o número máximo de hops que esse datagrama poderá trafegar na rede.
 

Provas

Questão presente nas seguintes provas