Foram encontradas 470 questões.
Com relação aos fundamentos da organização do DF, à administração pública e à assistência social, julgue o seguinte item, à luz da Lei Orgânica do DF.
A investidura em cargo, emprego e função pública depende de aprovação prévia em concurso público, que pode ser de provas ou de provas e títulos; as exonerações de cargos em comissão dependem de requisitos previstos em lei.
Provas
Provas

Provas
Provas
Provas
- Aprovação da lei orçamentária anual. . . . . . . R$ 100.000,00
- Arrecadação de impostos. . . . . . . . . . . . . . . . . R$ 40.000,00
- Empenho, liquidação e pagamento de folha de pessoal . . . . . . . . . . . . . . . . . . . . . . . . R$ 32.000,00
- Recebimento de bem em doação . . . . . . . . . . . R$ 60.000,00
Provas
Provas
Provas
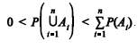
A respeito de probabilidade, julgue o item.
Considerando-se um espaço amostral W e a sequência de eventos A1, A2, ..., An, em que !$ A_1 \subset A_2 \subset ... \subset A_n \subset \Omega !$ e P(Ai) > 0, então 
Provas
!$ \sum = \begin{bmatrix} 10 & 1 & -1 \\ 1 & 7 & 3 \\ -1 & 3 & 2 \end{bmatrix} !$
Considerando a matriz de variância-covariância acima, julgue o item seguinte.
Considere que os dois maiores autovalores dessa matriz sejam !$ \lambda_1 = 10,30 !$ e !$ \lambda_2 = 8,29 !$. Nessa situação, os dois componentes principais de maior explicação responderão por 97,84% da variabilidade total dos dados.
Provas
Caderno Container